1
svar
96
visningar
TPMusk behöver inte mer hjälp
Rangordna utifrån effekt
Hej! Jag har lite svårt med följande uppgift:

Så här har jag tänkt för att rangordna effekten:
P =
P1 = 5 *
P2 kommer ha strömmen 40/50
P2 = 10* (40/50 * )^2 = 16000/2500 * = 6.4 *
P3 kommer att ha strömmen 10/50
P3 = 40 * (10/50 * )^2 = 4000/2500 =1.6*
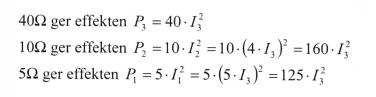
Facit får samma ordning, men gör på följande sätt, vilket jag inte förstår

Vad gör jag fel?
Tack på förhand!
Är du säker på att du gör fel?
Fundera på om strömmen som du och facit använder är densamma eller inte.