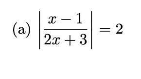
Rationell absolutbelopp ekvation

Min lösning

Enligt facit är -7/3 också en lösning. Men jag förstår inte hur, eftersom det inte är inom intervallet!
Edit: enligt facit är lösningarna x = -1 eller x = -7/3
Du missar ett intervall. Lättare att skriva om såhär:
Antingen gör du en teckentabell och kollar hur ekvationen blir i de 3 olika intervallen:
Du kan även dela upp och lösa separat:
Detta är betydligt snabbare och enklare att göra.
beerger skrev:Du missar ett intervall. Lättare att skriva om såhär:
Antingen gör du en teckentabell och kollar hur ekvationen blir i de 3 olika intervallen.
Du kan även dela upp och lösa separat:
Ja nu förstår jag. Det sistnämnda tror jag inte räknas som en fullständig korrekt lösning, utan vidare förklaring. Tack så mycket, det var problemet med intervallet jag inte förstod.
Så därför kan vi dela upp det.
Vi kan ta bort absolutbeloppen direkt och då får vi två olika fall, antingen blir VL lika med 2 eller -2 från definitionen av absolutbelopp, så vi får:
Löser man för de två olika fallen så får man x=-1 samt x=-7/3
Bara att tillägga, kanske redan har framgått genom allt vi skrivit.
Du skrev följande
Men t.ex. -4 som är mindre än 1 ger följande:
Detta ty det jag tidigare nämnde, att intervallen inte stämmer helt.
beerger skrev:Bara att tillägga, kanske redan har framgått genom allt vi skrivit.
Du skrev följande
Men t.ex. -4 som är mindre än 1 ger följande:
Om jag får fråga, hur ska man veta vilket intervall det tillhör?

Du kan göra en teckentabell och undersöka de olika intervallen (som uppstår för de x, där uttrycket byter tecken)
Notera är ej är med, ty då är nämnaren 0, ej def.
En något slarvig teckentabell, men du förstår poängen.
beerger skrev:
Du kan göra en teckentabell och undersöka de olika intervallen (som uppstår för de x, där uttrycket byter tecken)
Tack, en sista fråga. För att få lite mer förståelse för vad jag beräknar, varför är det x = 1 man undersöker, det är ett nollställe men vad innebär det engentligen för ekvationen. Uppskattar verkligen svaren, såhär sent en lördag.
Det har att göra med definitionen för absolutbelopp.
Du måste undersöka både x = -1 och x =
Detta är för att vid dessa punkter så byter uttrycken tecken.
Om vi tar t.ex. |x + 1|, det byter tecken vid x = -1
Om vi tar ett tal som vi kallar för z som är precis lite större än -1.
Då blir z + 1 , och vi kan skriva (z + 1)
Om vi istället tar ett tal y som är precis lite mindre än -1.
Då blir z + 1 , och vi skriver -(z + 1)
Notera att både (z + 1) och -(z + 1) kommer bli positiva.
Detta ty absolutbelopp endast har positiv värdemängd, med andra ord: så fort uttrycket blir negativt läggs det på en minustecken för att få det positivt. När uttrycket redan är positivt, lämnar vi uttrycket som det är.
Och det är just vid dessa kritiska punkter, t.ex. x = -1, där detta minustecken läggs resp. tas bort beroende på vilken sida av punkten man är på.
Att rita en figur är aldrig fel.

