2
svar
122
visningar
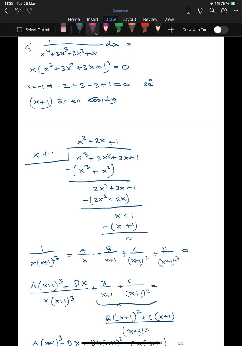
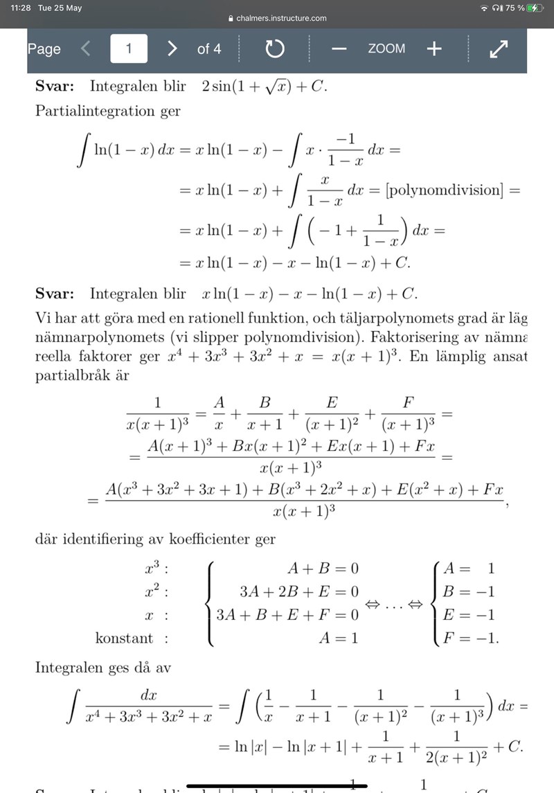
Rationell funktion, partialbråkuppdelning
Hej,
Kan inte hitta konstanterna B och C, hur gör jag för att hitta en till ekvation ifall jag vill använda ”den rosa metoden”? :)



Vad är den "rosa metoden"?