1 svar
108 visningar
eduhato0723 behöver inte mer hjälp
eduhato0723 40 – Fd. Medlem
Postad: 21 dec 2020 12:22

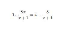
rationella ekvationer

Hur löser man denna 

Yngve 42638
Postad: 21 dec 2020 12:25 Redigerad: 21 dec 2020 12:27

Det finns flera olika sätt. Här är ett förslag:

  1. Addera 8x+1\frac{8}{x+1} till båda sidor.
  2. Förenkla vänsterledet genom att sätta båda termerna på gemensamt bråkstreck.
  3. Multiplicera båda sidor med vänsterledets nämnare.
  4. Lös ut x.
  5. Kontrollera att x är ett tillåtet värde.
  6. Klart.
Svara
Close