2 svar
106 visningar
Mo_96 behöver inte mer hjälp
Mo_96 35 – Fd. Medlem
Postad: 16 mar 2017 02:24 Redigerad: 16 mar 2017 02:25

Rationella funktioner

Hej! Snabb fråga.

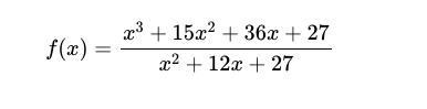
Vilka x-värden är följande rationella funktion inte definierad för?

 

Ja då kollar jag på nämnaren och försöker ordna så att nämnaren=0

Jag använder PQ-formeln, och får svaret -3 och -9, dvs dessa x-värden är inte funktionen definierad för. 

Är det rätt metod jag använder för att få svar på frågan?

 

Och en sista fråga:

när jag tänkte "kontrollräkna" att jag gjorde rätt med pq-formeln genom att  sätta in t.ex -3 i nämnaren, då får man det till -18 

Innebär detta att -18=0? Blandar jag ihop det?   O.o

HT-Borås 1287
Postad: 16 mar 2017 05:53

Dina rötter är rätt, men kontrollräkningen gick lite fort. Man får 9 - 36 + 27 = 0.

Mo_96 35 – Fd. Medlem
Postad: 16 mar 2017 12:06 Redigerad: 16 mar 2017 12:14

Ahhhh javisst.. Jag tog det på miniräknaren utan att sätta parentes runt trean.  (-3)^2

Tusen tack HT-Borås!

Svara
Close