6
svar
93
visningar
Rationella funktioner
Varför är mitt svar fel😫.
Följer efter det som läraren har sagt på föreläsningen.
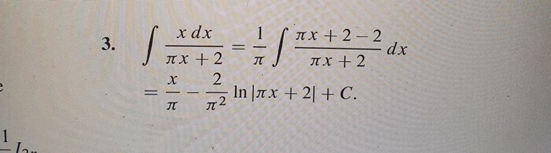
Uppgift 3.

Min lösning:

Facit:

Du gör fel i din polynomdivision
vad är felet?
Se faktarutan här bredvid polynomdivision
I ditt fall får man en rest
Enklare är, tycker jag, att göra som 'facit visar' - skapa en täljare som ger uttrycket
Du bryter ut pi från halva nämnaren.
Henning skrev:Se faktarutan här bredvid polynomdivision
I ditt fall får man en rest
Enklare är, tycker jag, att göra som 'facit visar' - skapa en täljare som ger uttrycket
Gör man det för att sedan kunna använda ln?
Ja, typ. Eftersom den primitiva funktionen för