Rationella uttryck
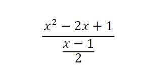
Jag har fastan på denna uppgiften och har ingen ordning hur man löser den, kan någon hjälpa mig? man ska förenkla så långt som möjligt. Uppgiften:

Välkommen till Pluggakuten!
Täljaren kan du faktorisera med en känd regel.
pq formeln?
pq-formeln skulle du kunna använda, men jag tänkte på en kvadreringsregel.
Uttrycket är en kvadrat.
alltså (x-1)2 men hur kan jag gå vidare med närmre, hur kan jag förenkla så långt som möjligt?
Nu har du faktorn (x-1) både i täljaren och nämnaren, så den kan du förkorta bort.
Notera att uttrycket inte är definierat för x=1.
är svaret x-1/2?
Du menar (x-1)/2. Inte riktigt, efter förkortningen har du , som du förenklar till ...
är svaret x=1,5
(x-1) försvinner inte. Förläng uttrycket i #8 med 2.
Visa spoiler
2(x-1)
blir svaret 2x-2/1?
/1 behöver du inte skriva.
2(x-1) eller 2x-2.
aha nu förstår jag, tack så mycket för hjälpen!