6
svar
167
visningar
M (a) * x skrev:Om jag har
jag vill inte bryta ut -1 då detta görs när det är olika täcken.
kan jag bara ställa om det så att det blir
men hur skulle man visa vad man har gjort
Trinity2 skrev:
men om jag skulle visa hur jag byter hur visar med det är dett endast att byta plats?
t.ex had man brytit ut -1 skriver man det som-1(x +x)....
hur skulle man visa steg då man gör bytet
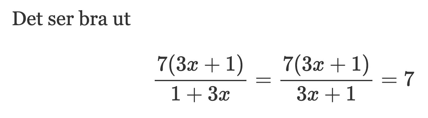
menar du från 1+3x till 3x+1?
Trinity2 skrev:menar du från 1+3x till 3x+1?
ja
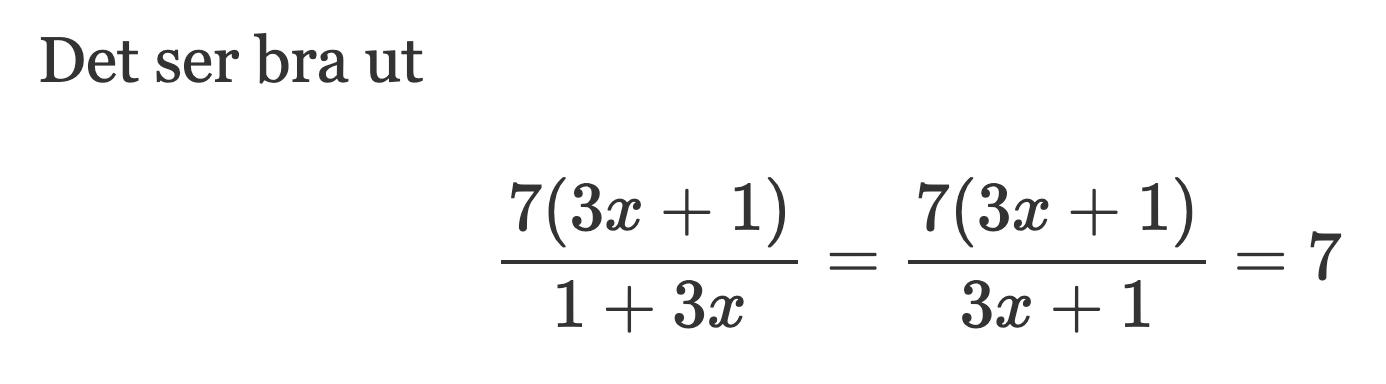
M (a) * x skrev:Trinity2 skrev:menar du från 1+3x till 3x+1?
ja
Addition är en kommutativ operation, ordningen spelar ingen roll och du behöver inte förklara att du ändrar ordning. 1+2=2+1
Subtraktion är EJ kommutativ. 1-2 =/= 2-1

