Rätt. Men så ful
Jag har fråga:
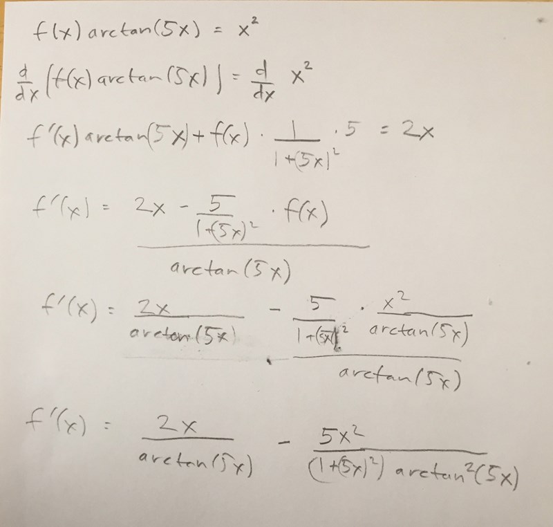
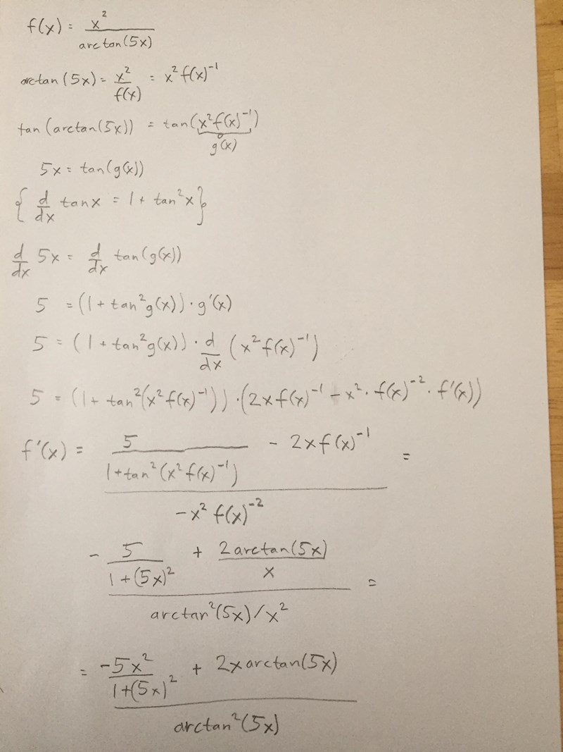
Bestäm derivatan till funktionen
Jag svarade och fick (oväntat) rätt, youhou!
Jag har däremot försökt förkorta denna fulo utan resultat.
Jag menar att jag fick nånting, men det såg inte enklare för att säga den minsta.
Wolframalpha skriver det på ett annat sätt, men det är lika fult.
Tack Smaragdalena!! Jag hade inte ens tänkt på att fråga Wolfram.
Nu har jag kört den i mathematica och får:

... jag ser att i uttrycket 2xarctan(5x), går arctan5x bort mot arctan5x i kvadratt i den gemmensamma nämnare, men borde inte uttrycket multipliceras med med 1+25x^2?
Hade en förhoppning om att det skulle bli smidigare med implicit derivering.
Tyvärr visade det sig inte stämma (se ovan). Blev åtminstone rätt svar.
Det visade sig att produktregeln var betydligt smidigare att använda.
dajamanté skrev:Tack Smaragdalena!! Jag hade inte ens tänkt på att fråga Wolfram.
Nu har jag kört den i mathematica och får:
... jag ser att i uttrycket 2xarctan(5x), går arctan5x bort mot arctan5x i kvadratt i den gemmensamma nämnare, men borde inte uttrycket multipliceras med med 1+25x^2?
omg. Jag tar bort detta fråga, och lovar att sova åtminstone 5 timmar inatt. Det borde höja kvalitet på frågorna!
Tack Tomast för din dubbel derivering, impliciten verkar vara royal i dem flesta tillfälle :). Förutom en.