Rätt samband/formel
Hej!

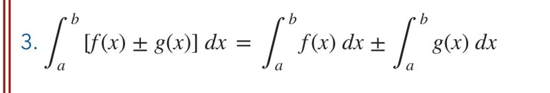
Menar de att VL= primitiva funktionerna av g(x) och f(x) pluss/minus varandra är lika med HL=integralerna av g(x) och f(x)?
Om det är så hur kan de då utföra en sådan beräkning:

Då har de utfört fel beräkning eftersom a) är inte primitiva funktioner pluss varandra?
+ i VL avser + i HL. Och - i VL avser - i HL. Detta är bara ett sätt att slå ihop två formler. Tecknet uppe i VL motsvarar tecknet uppe i HL.
Det de menar är att om man skall räkna ut integralen av en funktion, och denna funktion kan uttryckas som summan av två andra funktioner, kan man även räkna ut detta genom att ta integralen av den ena beståndsfunktionen plus integralen av den andra beståndsfunktionen.
Samma princip om funktionen kan uttryckas som en differens mellan två funktioner.
För att förståelse för sambandet föreslår jag att du tänker hur det blir grafiskt.