rätt svar?

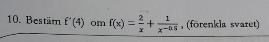
Stämmer det att svaret blir 3/8?
(fanns inget facit så vill bara vara säker på att det blev rätt)
Du har markerat att du är nöjd med hjälpen. Var detta ett misstag, eller har du hittat lösningen någon annanstans? Om du fortfarande behöver hjälp, kan du ta bort markeringen genom att trycka på "Avmarkera".
Du har markerat att du inte behöver mer hjälp. Om detta var ett misstag, så ta bort grönmarkeringen.
Smutstvätt skrev:Du har markerat att du är nöjd med hjälpen. Var detta ett misstag, eller har du hittat lösningen någon annanstans? Om du fortfarande behöver hjälp, kan du ta bort markeringen genom att trycka på "Avmarkera".
Råkade visst komma åt knappen. Jag behöver fortfarande hjälp
Visa hur du har gjort, så har vi möjlighet att se om du har gjort rätt eller inte.
Smaragdalena skrev:Visa hur du har gjort, så har vi möjlighet att se om du har gjort rätt eller inte.

Du missar minustecknet i slutet, du har ju -(2/16). Det skall alltså bli -(1/8)+2/8=1/8.
Dracaena skrev:Du missar minustecknet i slutet, du har ju -(2/16). Det skall alltså bli -(1/8)+2/8=1/8.
Oj det missade jag, tack!