7
svar
72
visningar
Hej Päivi.
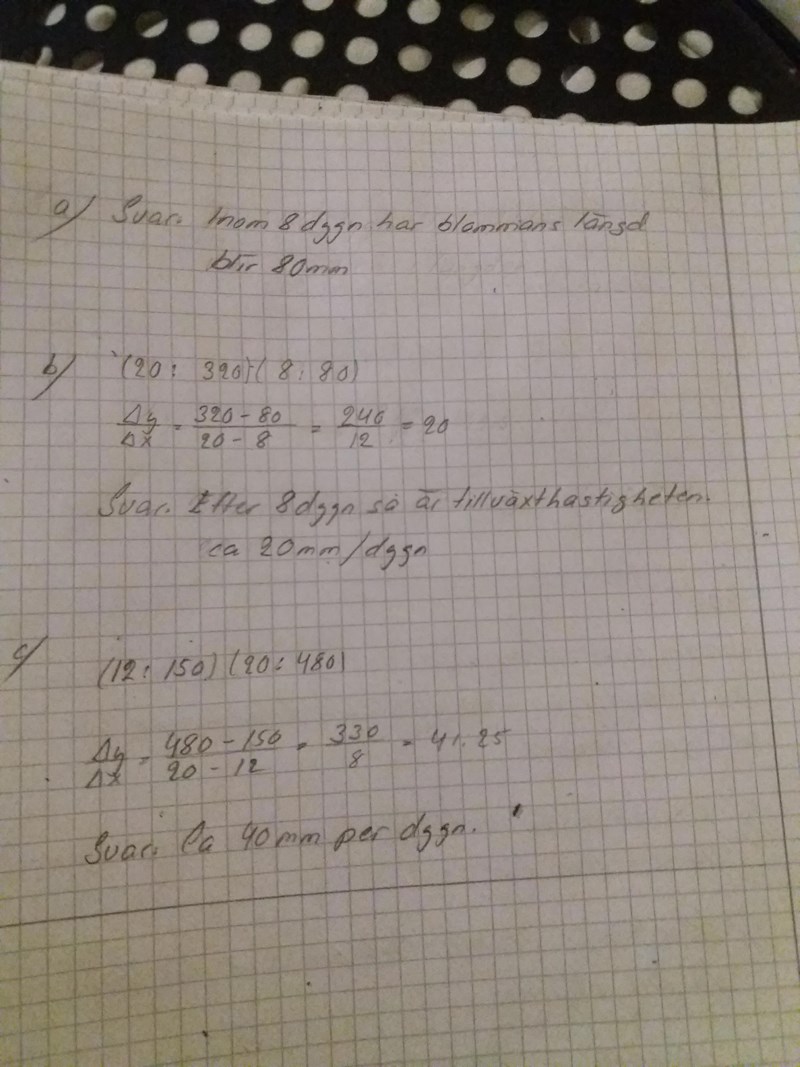
Det ser bra ut förutom b-uppgiften.
Tangenten du har ritat in där ser inte ut att ha rätt lutning. Den ser ut att tangera kurvan vid tiden 11 dygn.
Det är jag som har försökt dela det där i x axeln. Jag tippade mera på 12 dygn.
Det är mina markeringar i x axeln, Yngve
Ja nu ser det bättre ut.
Bra att du tittade på det. Titta på de andra också. Kolla det här lika med tecken.





