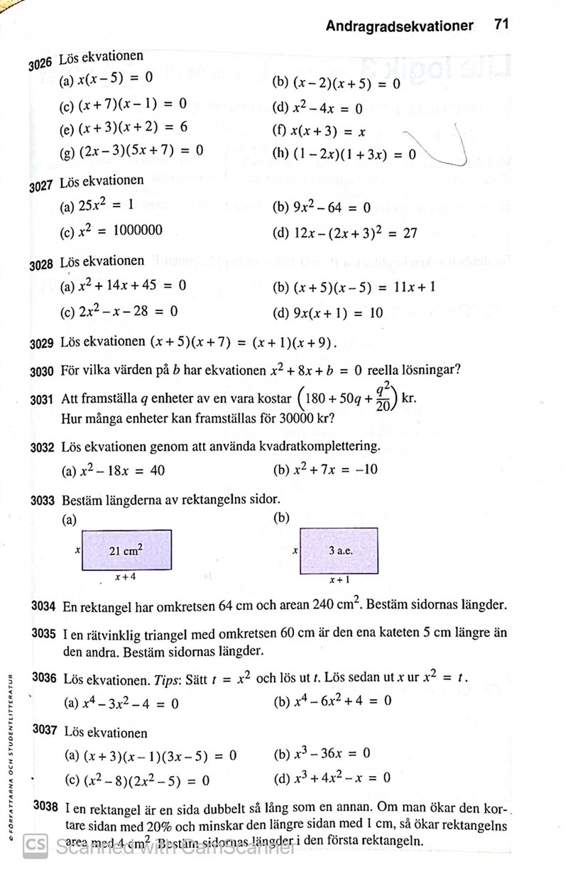
Rätvinklig triangel omkretsen
uppgiften lyder ”I en rätvinklig triangel med omkretsen 60cm är den ena kateten 5 cm längre än den andra. Bestäm sidornas längder”
jag kommer ingenvart. Jag har provat allt, specifikt funkar det ej att förenkla ekvationen till en andragradsfunktion och lösa den via PQ formeln.
Så ena sidan är ju såklart (x) och den andra (x+5), så är hypotenusan (c=roten(x^2+(x+5)^2)). Sen ställer man upp ekvationen (x+x+5+(hypotenusan))=60. Sen kommer jag ingenvart. Har förenklat den till en andragradsekvation som sagt, men inget efter det.
kan bifoga foto av resten av uppgifterna på sidan så ni får en idé vilka mattemetoder vi arbetar med just nu. Frågan i fokus är 3035
Kan du visa hur du har gjort när du förenklat ekvationen?
Edit: Fick sidornas längder till 15, 20 och 25