Reaktioner

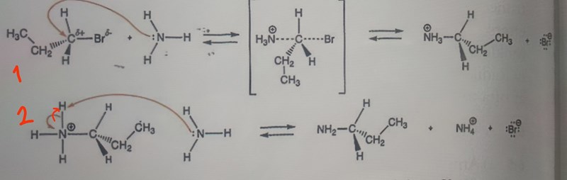
1) den första är när det sker en sn2 reaktion. Hur ska man veta vilka bindningar som pekar inåt respektive utåt? Och vilket ämne det är som gör det?
2) sedan kommer denna att övergå till en protolysreaktion. Bör inte pilen bli så som den röda markeringen? Varför går den inåt istället, när det är väte som kommer sättas på NH3?
plusminus skrev:
1) den första är när det sker en sn2 reaktion. Hur ska man veta vilka bindningar som pekar inåt respektive utåt? Och vilket ämne det är som gör det?
Hur menar du "veta"?
Den streckade triangeln (t.ex. längst till vänster) pekar in inuti pappret, medans den fyllda triangeln pekar ut ur pappret. De andra två bindningarna ligger i samma plan som pappret motsvarande precis på papprets yta. Detta gäller strukturformler generellt.
2) sedan kommer denna att övergå till en protolysreaktion. Bör inte pilen bli så som den röda markeringen? Varför går den inåt istället, när det är väte som kommer sättas på NH3?
Pilen visar var elektronerna hamnar, eller "tar vägen". Och det blir inte som i den klarröda tjockare pilen. Istället illustrerar den tunnare pilen (från ammoniak) att ett av elektronparen skapar en ny bindning till detta väte - det ser du även i och med att det bildas en ammoniumjon (längst till höger). Och när denna nya kovalenta bindning bildas, bryts den befintliga, och elektronerna omlagras då i form av ett fritt elektronpar på aminen (längst till höger) och ingen positiv laddning finns kvar på denna molekyl.
mag1 skrev:plusminus skrev:1) den första är när det sker en sn2 reaktion. Hur ska man veta vilka bindningar som pekar inåt respektive utåt? Och vilket ämne det är som gör det?
Hur menar du "veta"?
Den streckade triangeln (t.ex. längst till vänster) pekar in inuti pappret, medans den fyllda triangeln pekar ut ur pappret. De andra två bindningarna ligger i samma plan som pappret motsvarande precis på papprets yta. Detta gäller strukturformler generellt.
Ja precis. Jag är med på att det gäller för strukturformler generellt och att de visar på vilka som pekar inåt respektive utåt. Det jag däremot inte är med på är hur man vid SN2 reaktioner vet deras "riktning" - alltså hur man ska avgöra var från kolet de befinner sig (innan, vid intermediär, och efter reaktionen - för som vi kan se så byter de plats). Det andra jag inte förstår är hur man vet vilka ämnen det är som får dessa som pekar in och ut. Här är det exempelvis ch2-ch3 och väte. Varför var det just dessa som ska peka in resp ut? Varför är inte de istället väte och väte?
2) sedan kommer denna att övergå till en protolysreaktion. Bör inte pilen bli så som den röda markeringen? Varför går den inåt istället, när det är väte som kommer sättas på NH3?
Pilen visar var elektronerna hamnar, eller "tar vägen". Och det blir inte som i den klarröda tjockare pilen. Istället illustrerar den tunnare pilen (från ammoniak) att ett av elektronparen skapar en ny bindning till detta väte - det ser du även i och med att det bildas en ammoniumjon (längst till höger). Och när denna nya kovalenta bindning bildas, bryts den befintliga, och elektronerna omlagras då i form av ett fritt elektronpar på aminen (längst till höger) och ingen positiv laddning finns kvar på denna molekyl.
Ja precis. De visar på elektronernas riktning. Men jag förstår fortfarande inte riktigt varför den ska bindas in? Hur ska man veta att den kommer vikas inåt? Visar inte det där på att det blir en dubbelbindning?
plusminus skrev:mag1 skrev:plusminus skrev:1) den första är när det sker en sn2 reaktion. Hur ska man veta vilka bindningar som pekar inåt respektive utåt? Och vilket ämne det är som gör det?
Hur menar du "veta"?
Den streckade triangeln (t.ex. längst till vänster) pekar in inuti pappret, medans den fyllda triangeln pekar ut ur pappret. De andra två bindningarna ligger i samma plan som pappret motsvarande precis på papprets yta. Detta gäller strukturformler generellt.
Ja precis. Jag är med på att det gäller för strukturformler generellt och att de visar på vilka som pekar inåt respektive utåt. Det jag däremot inte är med på är hur man vid SN2 reaktioner vet deras "riktning" - alltså hur man ska avgöra var från kolet de befinner sig (innan, vid intermediär, och efter reaktionen - för som vi kan se så byter de plats). Det andra jag inte förstår är hur man vet vilka ämnen det är som får dessa som pekar in och ut. Här är det exempelvis ch2-ch3 och väte. Varför var det just dessa som ska peka in resp ut? Varför är inte de istället väte och väte?
Det spelar ingen roll vilken atom som visas som pekande in/ut, för roterar du molekylen lite så ändras det. Det är förhållandet mellan atomerna/grupperna som är viktiga att hålla reda på. Du kan betrakta ett objekt som en struktur eller blomma från flera håll, och även rita dessa från flera håll. Har du tillgång till en byggsats för molekyler kan det vara en bra övning att bygga upp molekylen och rotera den lite, så ser du konkret hur det ändras, och att du kan rita ut strukturen lite som du själv väljer - så länge som gruppernas inbördes ordning inte ändras.
2) sedan kommer denna att övergå till en protolysreaktion. Bör inte pilen bli så som den röda markeringen? Varför går den inåt istället, när det är väte som kommer sättas på NH3?
Pilen visar var elektronerna hamnar, eller "tar vägen". Och det blir inte som i den klarröda tjockare pilen. Istället illustrerar den tunnare pilen (från ammoniak) att ett av elektronparen skapar en ny bindning till detta väte - det ser du även i och med att det bildas en ammoniumjon (längst till höger). Och när denna nya kovalenta bindning bildas, bryts den befintliga, och elektronerna omlagras då i form av ett fritt elektronpar på aminen (längst till höger) och ingen positiv laddning finns kvar på denna molekyl.
Ja precis. De visar på elektronernas riktning. Men jag förstår fortfarande inte riktigt varför den ska bindas in? Hur ska man veta att den kommer vikas inåt? Visar inte det där på att det blir en dubbelbindning?
Inom hakparantesen [] visas övergångstillståndet där det visas två partiella (delvisa) bindningar genom de streckade linjerna. Det illustrerar att den nya bindningen håller på att brytas, och den nya bildas - det är ett mellanting mellan reaktanten och produkten. Det motsvarar två halvor av en enkelbindning, det är just därför den är streckad.
Det spelar alltså ingen roll hur man ritar bindningen in och ut? Och det spelar alltså ingen roll vilka ämnen man sätter där? (Så länge man får rätt slutprodukt)
Hur ska man tänka för att få förhållandet mellan atomerna/grupperna korrekt? (Rätt slutprodukt)
plusminus skrev:Det spelar alltså ingen roll hur man ritar bindningen in och ut? Och det spelar alltså ingen roll vilka ämnen man sätter där? (Så länge man får rätt slutprodukt)
Vet inte om jag förstår dig helt här. Du kan rita molekylen längst till vänster med bindningarna H-C-Br direkt på pappret, men lika gärna CH2-C-Br. Det viktiga är att gruppernas inbördes positioner (förhållande till varandra) är rätt.
Hur ska man tänka för att få förhållandet mellan atomerna/grupperna korrekt? (Rätt slutprodukt)
Tack!
Åter till denna fråga, på reaktion 1, kommer den första produkten ha någon laddning? Ser att det står (+) vid kvävet. Är den en förskjuten laddning eller blir hela den produkten till en jon? Hur kommer det sig isåfall?
Ja, det är en jon som bildas, d.v.s. det är ingen förskjuten laddning inom ett ämne.
Jonen kan sedan tillsammans med den negativa bromidjonen kan bilda ett salt, propan-1-amid bromid.
mag1 skrev:Ja, det är en jon som bildas, d.v.s. det är ingen förskjuten laddning inom ett ämne.
Jonen kan sedan tillsammans med den negativa bromidjonen kan bilda ett salt, propan-1-amid bromid.
Hur kommer det sig att det bildas en positiv jon? Efter att bromet försvunnit och NH3 tillkommit så bör väl laddningen vara oförändrad?
plusminus skrev:mag1 skrev:Ja, det är en jon som bildas, d.v.s. det är ingen förskjuten laddning inom ett ämne.
Jonen kan sedan tillsammans med den negativa bromidjonen kan bilda ett salt, propan-1-amid bromid.
Hur kommer det sig att det bildas en positiv jon? Efter att bromet försvunnit och NH3 tillkommit så bör väl laddningen vara oförändrad?
Du behöver titta på helheten, vad som sker vid skapandet av den nya bindningen, samt vad som sker när bindningen C-Br bryts.
1) Titta på antalet elektroner hos kvävet, och jämför hur det ser ut innan reaktionen, med hur det ser ut efter reaktionen.
2) Och samma sak för elektronerna mellan C-Br, var tar de vägen?
Och med 1) och 2) tillsammans framgår det varför det bildas två joner under reaktionen.
Tack så mycket för hjälpen!
För all del, kul att det hjälpte!
Hoppas det blev klarare med hur jonerna bildas.