Reaktionsformler betasönderfall
Hej!
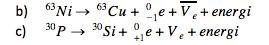
Finns det någon som kan hjälpa mig på traven med dessa reaktionsformlerna
vet ej hur jag ska göra med betasönderfallet, eller hur jag ska skriva det med antineutrino

Du ska fyllen i dotternukleiden och neutrino/antineutrino i de två fallen. Dotternukleiden i första sönderfallesekvationen har en neutron mindre och en proton mer än modernukleiden. Tvärtom i den nedre.
Den här Youtubevideon är bra, finns ett exempel i slutet som bland annat beskriver hur man ska tänka i din uppgift. Titta på den och säg till om du inte förstår.
https://www.youtube.com/watch?v=5y7iyA3BvfY
JohanF skrev:Du ska fyllen i dotternukleiden och neutrino/antineutrino i de två fallen. Dotternukleiden i första sönderfallesekvationen har en neutron mindre och en proton mer än modernukleiden. Tvärtom i den nedre.
Den här Youtubevideon är bra, finns ett exempel i slutet som bland annat beskriver hur man ska tänka i din uppgift. Titta på den och säg till om du inte förstår.
https://www.youtube.com/watch?v=5y7iyA3BvfY

ser det rätt ut?
Det tycker jag. Samma masstal, men atomnumret skiftas åt ena eller andra hållet.