1
svar
96
visningar
Sarahqurbani behöver inte mer hjälp
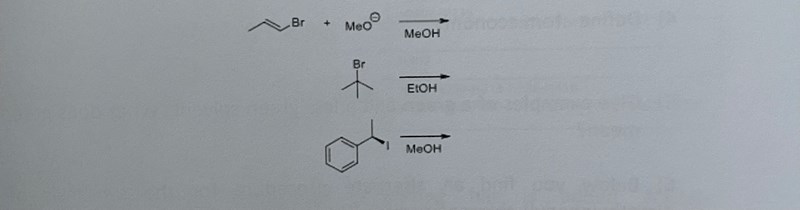
Reaktionsmekanism
Hej, jag skulle behöva lite hjälp med att förstå typen av reaktion och dess mekanism för dessa reaktioner:

Börja med den högst upp:
- Vilket/vilka ämnen är reaktiva?
- Vad kan ske?
- Vilken reaktion sker lättast (den kommer vara den enda, eller dominera)
- Spelar lösningsmedlet någon roll, d.v.s. påerkar/styr det vilken reaktion som dominerar?