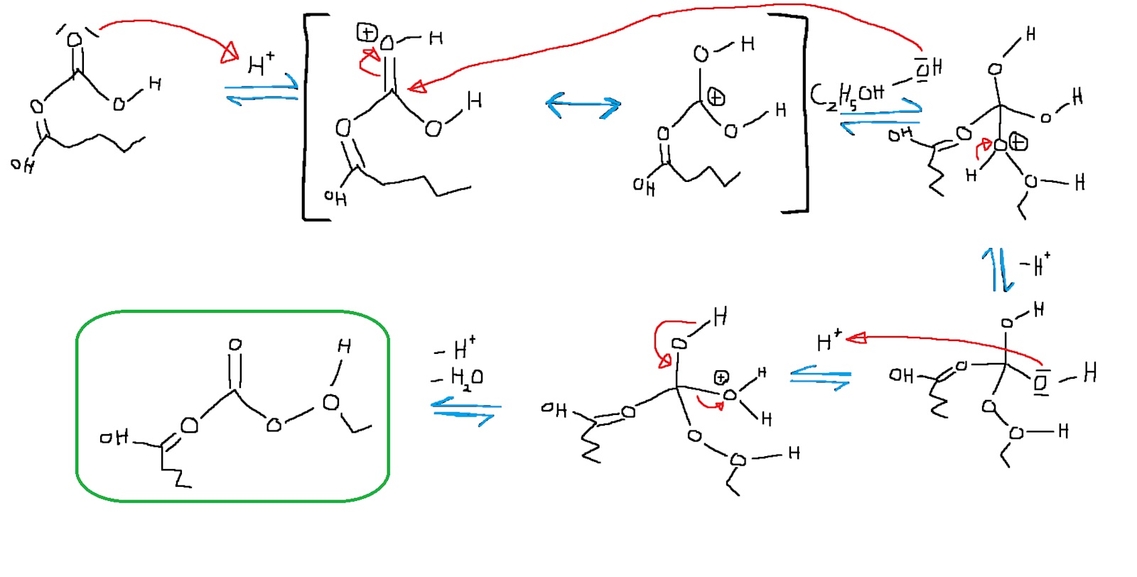
Reaktionsmekanism för estersyntes av pentansyra, etanol + svavelsyra
Hejsan!
Jag har gjort en laboration där jag syntetiserade pentansyra och etanol + svavelsyra som katalysator.
klassen fick redan en färdig reaktionsmekanism men när jag gjorde min sa läraren att det var fel och förklarade inte hur.
Den här bilden är lärarens mekanism där R1 ska vara pentansyran och R2 är etanol:
Min mekanism:
vad är det för fel jag har gjort här?
Det är en syrakatalyserad esterifiering av pentansyra med etanol för att få etylpentanoat.
I lärarens reaktionsmekanism (i korthet) protoneras det dubbelbundna karboxylsyret. Då kan syret i etanolen göra en nukleofil attack på karboxylkolet. Sen via protoshift avgår vatten och estern är klar.
I din skiss utgår du från en förening som jag aldrig sett förr med ett trivalent syre utan laddning. Troligen felritad. Så rita rätt utgångsföreningar o försök igen.