Recirkulering N2 H2
Uppgift:
I en ammoniakreaktor reagerar vätgas med kvävgas enligt formeln:
N2 + 3 H2 -> 2 NH3
I ett visst försök matas en enkel reaktor med ett totalt inflöde på 10 mol/s. Reaktanterna i
inmatningsflödet är i stökiometriskt förhållande till varandra. Försöket visar sig ge endast
10 % omsättning.
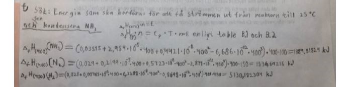
c) Beräkna reaktionsentalpin för reaktionen vid referenstillståndet, 25 °C.
För att förbättra processen införs en rad förändringar. Reaktantgaserna tillförs fortfarande
reaktorn i stökiometriska mängder, men all oreagerad N2 och H2 recirkuleras nu till inloppet
på reaktorn. Strömmen ut från reaktorn håller 200 °C och kyls ner till 25 °C, varvid ammoniak
kondenserar och avskiljs. Produktionen av NH3 är 100 mol/s.
d) Hur mycket färsk N2 och H2 måste tillföras systemet?
e) Reaktorns omsättning vid enkel genomgång är 25 %. Beräkna flödet av N2 och H2 som
recirkuleras.
Mina svar
c) Här finns någon logisk vurpa. Fattas en faktor 2 någonstans. Var går det fel?

e) Är detta OK lösning?

f) Är detta OK lösning?
Du visar för få delar av uppgiften och dina beräkningar så det är i princip omöjligt att följa vad du gör. Jag tror att en del av dina poängtapp beror på bristande redovisning vilket gör att både du själv glömmer bort vad du gör samtidigt som läraren (och vi) får svårt att följa resonemangen. Ta för vana att skriva lite text mellan i princip varje ny rad med beräkningar.
Svaret på c-uppgiften beror t.ex. helt och hållet på hur du har beräknat reaktionsentalpin. Gäller -46,19 kJ per mol ammoniak? Per mol kvävgas? Vätgas? Utan att känna till detta går det inte att förstå lösningen eller varför du har fått fel.
Generellt så löses denna typ av uppgift genom ett ekvationssystem med diverse balanser. Du får anta steady-state över reaktorn, dvs att massa in = massa ut. Du kan då ställa upp en ekvation som beskriver att flödet av kväveatomer in är lika med flödet kväveatomer ut. Samma sak med väteatomer. Du vet att total massa in är lika med total massa ut. Dessa balanser kan du ställa upp runt alla noder, dvs där strömmar går samman eller splittas i flera nya strömmar. Över reaktorn kan du ställa upp en balans som säger hur flödet av kväve och syre hänger ihop med flödet av ammoniak.
Nytt försök på c)
Ja, -46,19 kJ/mol är för ammoniak.

Ska uppgiftens information
"Försöket visar sig ge endast
10 % omsättning." användas?
Är svaret 10% av -92,38 kJ/mol?