5 svar
241 visningar
Noah E behöver inte mer hjälp
Noah E 3 – Fd. Medlem
Postad: 19 maj 2022 22:55 Redigerad: 19 maj 2022 23:07

Redovisnings uppgift

Hej jag har i uppdrag att redovisa uppgift nummer 3 "Hur långt kan du see".

Jag har kommit fram till att,

d = 2Rh/R+h ×R

Nu vet jag inte hur jag ska fortsätta, kan jag försumma h då den är väldigt liten jämfört med R och förenkla uttrycket till 2R/R ×R --> 2R vilket då är = k ?

Och även om det funkar vet jag inte hur jag ska ta reda på hur stort procentuelt fel jag får. Jätte tacksam för svar!

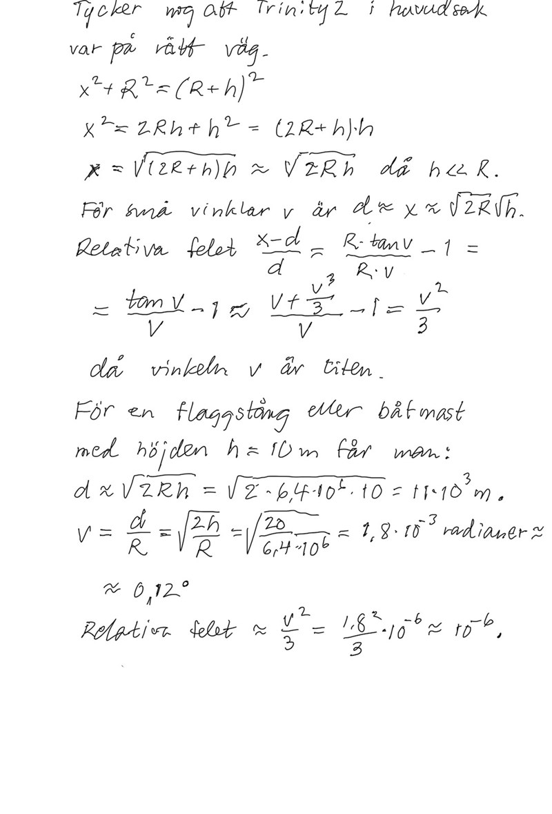
Trinity2 4353
Postad: 20 maj 2022 11:28

Du har nog räknat lite fel på vägen.

(h+R)^2 = R^2 + d^2

d^2 = (h+R)^2 - R^2 = h^2 + 2hR + R^2 - R^2 = h^2 + 2hR = (h+2R)h

d = sqrt( (h+2R)h ) = sqrt(h+2R) * sqrt(h)

Här ser vi att k = sqrt(h+2R) ≈ sqrt(2R) eftersom h är förhållandevis litet jfrt 2R.

Vi har approximationen d* = sqrt(2R) sqrt(h)

 

Sedan skall du beräkna (d*-d)/d för olika h. Värdet för R finner du säkert på Wikipedia.

joculator 5203 – F.d. Moderator
Postad: 20 maj 2022 12:00
Trinity2 skrev:

Du har nog räknat lite fel på vägen.

(h+R)^2 = R^2 + d^2

d^2 = (h+R)^2 - R^2 = h^2 + 2hR + R^2 - R^2 = h^2 + 2hR = (h+2R)h

d = sqrt( (h+2R)h ) = sqrt(h+2R) * sqrt(h)

Här ser vi att k = sqrt(h+2R) ≈ sqrt(2R) eftersom h är förhållandevis litet jfrt 2R.

Vi har approximationen d* = sqrt(2R) sqrt(h)

 

Sedan skall du beräkna (d*-d)/d för olika h. Värdet för R finner du säkert på Wikipedia.

d är längs med marken. Det är en dirkelbåge. 

Trinity2 4353
Postad: 20 maj 2022 12:03

Aha, "my bad".

Noah E 3 – Fd. Medlem
Postad: 20 maj 2022 14:23
joculator skrev:
Trinity2 skrev:

Du har nog räknat lite fel på vägen.

(h+R)^2 = R^2 + d^2

d^2 = (h+R)^2 - R^2 = h^2 + 2hR + R^2 - R^2 = h^2 + 2hR = (h+2R)h

d = sqrt( (h+2R)h ) = sqrt(h+2R) * sqrt(h)

Här ser vi att k = sqrt(h+2R) ≈ sqrt(2R) eftersom h är förhållandevis litet jfrt 2R.

Vi har approximationen d* = sqrt(2R) sqrt(h)

 

Sedan skall du beräkna (d*-d)/d för olika h. Värdet för R finner du säkert på Wikipedia.

d är längs med marken. Det är en dirkelbåge. 

jag kom fram till en approximation men jag förstår verkligen inte hur jag ska "svara" på uppgiften?

Jan Ragnar 2228
Postad: 20 maj 2022 23:29

Svara
Close