5 svar
1241 visningar
nora99 2 – Fd. Medlem
Postad: 21 apr 2018 15:25 Redigerad: 21 apr 2018 15:58

Redovisningsuppg: Flödeshastighet i en kanal (Integraler?)

Uppgiften som ska lösas lyder såhär: På grund av översvämningsrisken har en kommun bestämt sid för att avleda vattnet i ett vattendrag med hjälp av en grävd kanal. Kanalen kommer att vara 3 meter djup på det djupaste stället och 6 meter bred. Det finns tre modeller för hur kanalen kan komma att grävas: en rektangulär, en triangulär och en i form av ett parallelltrapets. För att veta vilken av de tre modellerna de ska välja behöver kommunen veta med vilken hastighet, mätt i kubikmeter per sekund, som vattnet kommer att flöda genom kanalen. Det som försvårar beräkningen är att flödeshastigheten inte är densamma på alla ställen i kanalen. Vattnet flödar nämligen långsammare ju närmare stranden man kommer. Utifrån tidigare erfarenhet uppskattar man att flödeshastigheten kommer att vara ca 0.5 m/s vid stranden och ca 2.5 m/s i mitten av kanalen. 

  • Anta att flödeshastigheten ökar linjärt från strandkanten till kanalens mitt. Beräkna vattenflödet i kubikmeter per sekund för var och en av de tre kanalmodellerna.

 

Så bredden är 6 och djupet 3 i rektangeln, och kortsidan på parallelltrapetsen är 2 m.

 

Jag har löst vattenflödet i rektangelmodellen genom att hitta ett linjärt samband (2/3x + 0.5), integrera över halva rektangeln, dvs mellan x=0 och x=3, multiplicera med djupet som är 3m, och slutligen dubblera med 2 för att få inflödet för hela kanalen. Jag fick svaret 27m^3/s. 

Problemet för mig nu är att lösa modellerna för triangeln och parallelltrapetsen och behöver därför lite hjälp för att hitta det linjära sambandet och integralen.

Tacksam för svar!

Edit: det jag fattat är att triangelns linjära samband är även den 2/3x + 0.5 och att funktionen för djupet är x, men varför då? Dessutom att parallelltrapetsen ska delas in i två delar, med olika linjära samband och djup. Mer än så förstår jag inte. 

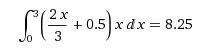
Här är integralen för triangeln:

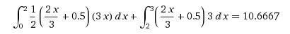
Och parallelltrapetsen:

Problemet för mig är alltså hur jag ska komma fram till dessa integraler?

nora99 2 – Fd. Medlem
Postad: 21 apr 2018 23:59

Bump

josep 2
Postad: 2 maj 2018 13:11

bump

Smaragdalena 78892 – Avstängd
Postad: 2 maj 2018 17:36

Meningen med Pluggakuten är inte att någon annan skall göra era redovisningsuppgifter. Har ni konkreta frågor så visa hur långt ni har kommit, så kommer ni förmodligen att få massor med hjälp.

josep 2
Postad: 9 maj 2018 12:55

Jag undrar bara hur man skulle tänka sig för att komma fram till integralerna för triangeln och paralleltrapetsen. 

Smaragdalena 78892 – Avstängd
Postad: 9 maj 2018 16:46

Visa hur du har försökt, så kan du få feedback, däremot tänker vi inte lösa dina uppgifter åt dig, särskilt inte redovisningsuppgifter.

Svara
Close