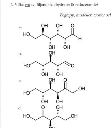
Reducerande

Hur avgör man detta genom att kolla på bilden? Reducerande = plockar upp väte eller avger syre. (Menar de att den själv reduceras eller har en reducerande förmåga?)
Om en kolhydrat är reducerande är det den som orsakar reduktionen av ett annat ämne (t.ex. kopparjoner). Och som i alla reduktion/oxidationsreaktioner oxideras ett ämne och ett annat reduceras.
Det gäller att hålla rätt på begreppen, för oxidation av ett ämne och reduktion av ett annat, är de reaktionerna som sker. Men det sker genom att ett reducerande ämne (vissa kolhydrater, som själva reduceras) kombineras med ett oxiderande ämne ("det andra ämnet" som oxideras t.ex. kopparjoner).
Och för att lista ut vilka kolhydrater som kan vara reducerande (d.v.s. oxidera ett annat ämne), behöver du hitta en funktionell grupp som kan reduceras - den brukar alltid nämnas i kemiböckerna i samband med att "reducerande socker" beskrivs. Hittar du den?
Är det aldehyder? Är inte det bara (a) som kan reduceras isåfall
Ja det är aldehydgrupperna.
Titta en gång till på b).
Ett osynligt väte. Märkte inte av det.
Tack för hjälpen mag1 !!
För all del, bra att du såg det :)