Reella lösningar till absolutbelopp
Finn alla reella lösningar till:
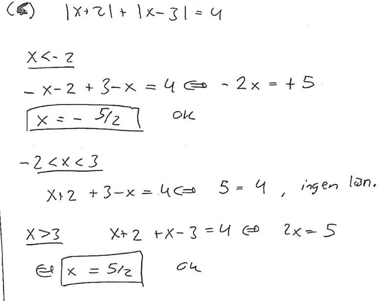
Har suttit ett tag med den men får som svar att det inte finns några reella lösningar. Stämmer detta? mitt facit säger något annat.
Vad hävdar ditt facit att det finns för lösningar? Man kan tolka absolutbeloppet som avståndet mellan a och b på tallinjen. är alltså avståndet mellan och plus avståndet mellan och . Eftersom avståndet mellan och är kan det omöjligt finnas något tal så att summan av avstånden blir .

Här är mitt facit.
Hej!
I första intervallet så verkar det ha blivit ett litet slarvfel, det bör stå , vars lösning inte ligger i det givna intervallet.
I sista intervallet så ligger inte heller lösningen inom det givna intervallet.
tack för alla svar, skönt att få lite bekräftelse på att man inte är helt ute och cyklar.