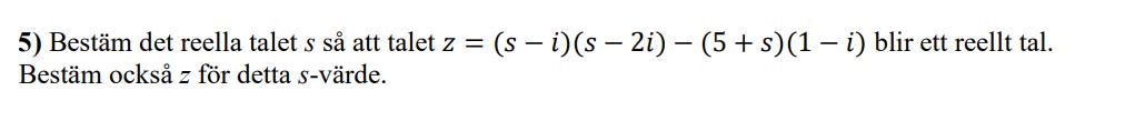
Reella talet s

Undrar om jag har kommit till rätt svar i slutet?


Sätt in s-värdet och se om imaginärdelen blir 0.
Jag förstår inte riktigt, kan du förklara mer?
Sätt in s = 5/2 i ekvationen
och se om imaginärdelen blir 0. Då är det rätt.
Jag gjorde så här istället, blir det rätt nu?
s = 5/2 var rätt!
Så min lösning här nedan är fel och min gamla lösning är den som stämmer?

Den gamla ger rätt svar. Jag har inte kollat stegen.
Nu har jag fått svaret rätt eller?

Det jag försöker komma till är att du själv kan kontrollera ifall du har rätt lösning till en ekvation. Alltid.
På prov finns inget facit och då är insättning av den uträknade lösningen ett bra sätt att se om man har gjort rätt. Det är lätt att göra slarvfel, och på detta sätt lätt att hitta dem.
Visst är det bra att kunna testa sina egna beräkningar.
Vilket du kunde göra genom att se om imaginärdelen av z blir 0 för ditt värde på s.
Men om det värdet på z som du fått för värdet på s=5/2 är rätt är inte lika enkelt.
Men du har räknat rätt även där.
Tack för era kommentarer!
Bra att veta att jag har kommit till rätt slutlig svar. Jag ska ta hänsyn till det ni rekommenderade inför nästa gång.