Rektangelns kortare sida som en funktion av p

svaret jag får är detta

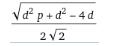
men facit säger 
Är uttrycket jag får en icke-förenklad version av svaret i facit eller är jag helt fel ute? Om det är rätt, hade man fått fel eller förlorat poäng för att man inte skrev precis så som de har skrivit det?
En sak som pekar på att du skulle kunnat räkna fel är att du summerar d^2 och d under rottecknet, de har olika enheter.
samt ditt uttryck växer med växande p, facit avtar.
jag skulle nog kontrollräkna.
Analys skrev:
varför använder du sin istället för att använda cos direkt?
För att jag har hypo + motstående katet.
Min sista rad kan göras om med trig 1 till något som ligger nära svaret.
Analys skrev:Min sista rad kan göras om med trig 1 till något som ligger nära svaret.
Eller
om h = d *sin(x/2)
sin(x/2) = ((1-cosx)/2)1/2
h = d* ((1-cosx)/2)1/2
h = d*((1-p)/2)1/2 ?
Ser mkt bra ut, i facit har de flyttat ut 1/roten (2) och satt det framför den andra roten.
bra jobbat!

