18 svar
267 visningar
Magi2 behöver inte mer hjälp
Magi2 120
Postad: 10 okt 2021 18:49 Redigerad: 10 okt 2021 18:50

Rekursiv formel

Hej, vår mattelärare berättade att kursplanen har förändrats lite. Så vi lämnade de två lektionerna som talar om Artimetiska och geometriska talföljder och började med rekursiva formler och programmering, som den nya läroplanen säger.
Men problemet är att jag har stora svårigheter att programmera. Jag behöver tydliga steg för att kunna lösa problemen, men jag kan inte. Jag fick dessa frågor från min lärare, jag försöker lösa dem men jag vet inte varför jag gör varje steg, kan någon hjälpa mig att hitta steg som jag kan följa för att lösa dessa problem och se till att jag löser korrekt? 

Under frågorna kan ni se hur jag gjorde med första fråga

 

Micimacko 4136
Postad: 10 okt 2021 19:24

Vad vill du göra när du räknar ut fakulteten?

Magi2 120
Postad: 10 okt 2021 19:59

Räkna alla tal innan talet n, alltså multiplikation av de, eller?

Micimacko 4136
Postad: 10 okt 2021 20:38

Ja men talet innan antar vi att vi vet vad det blir. Vad gör din funktion med det talet för att komma till nästa?

Naturareelev 537 – Fd. Medlem
Postad: 10 okt 2021 20:44

Hej! 

Ber om ursäkt jag kommer ej besvara något om denna fråga då jag inte kan detta, men jag har en fråga. Är det programmering i matte 5? Jag går just nu matte 4 och blev lite chockad av detta inlägg.

Magi2 120
Postad: 10 okt 2021 22:34

#Naturareelev ja det programering i python, men fokus ligger på användning av den för att lösa matteuppgifter och inte på programeringen i sig själv. Så vi behöver inte kunna koder eller något sånt :)

Magi2 120
Postad: 10 okt 2021 22:38
Micimacko skrev:

Ja men talet innan antar vi att vi vet vad det blir. Vad gör din funktion med det talet för att komma till nästa?

Jag kunde lösa  1 och 2 men 3 är lite besvärlig  och förstår inte alls hur ska jag tänka. Ska man göra ett ekvationssystem eller hur ska man börja?

Micimacko 4136
Postad: 10 okt 2021 22:41

Gör 2 olika funktioner beroende på om n är jämn eller udda. Då har du en färdig formel som baseras på ett tidigare tal i följden.

Magi2 120
Postad: 10 okt 2021 22:47
Micimacko skrev:

Gör 2 olika funktioner beroende på om n är jämn eller udda. Då har du en färdig formel som baseras på ett tidigare tal i följden.

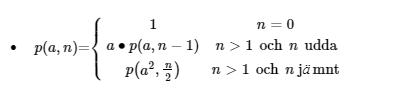
Här är facit, men förstår inte varför blev det så, varför gjorde de så? 

Micimacko 4136
Postad: 10 okt 2021 22:51

Om vi antar att a är udda, vilket tidigare tal vill du utgå från? Titta på formeln du fått i uppgiften

Micimacko 4136
Postad: 10 okt 2021 22:52

Känns som att de skrivit fel i frågan. Där delar de upp efter om a är jämn och i facit delar de beroende på n 🤔

Magi2 120
Postad: 10 okt 2021 22:55
Micimacko skrev:

Känns som att de skrivit fel i frågan. Där delar de upp efter om a är jämn och i facit delar de beroende på n 🤔

Exakt! Jag blev förvirrad för att jag utgick från a är jämnt eller udda.

Hur skulle det bli om vi utgår från frågan då, alltså på samma sätt som facit men byter n mot a eller?

Micimacko 4136
Postad: 10 okt 2021 22:57

Frågan är fel och facit rätt. Du kan se det eftersom n delas med 2 och då kan det bara vara jämna tal.

Magi2 120
Postad: 10 okt 2021 23:06
Micimacko skrev:

Frågan är fel och facit rätt. Du kan se det eftersom n delas med 2 och då kan det bara vara jämna tal.

Så ska jag byta då a mot n i frågan, men problemet inte bara i det här utan också strukturen av svaret. Alltså varför skriver på det här formen? "punktform", för att i vanliga fall som frågorna 1 och 2 så skriver man inte så utan basfall och sen en generell funktion.

 

Micimacko 4136
Postad: 10 okt 2021 23:09

Du har basfall 1. Sen använder du olika funktioner beroende på jämn/udda. För att du får det så i frågan

Magi2 120
Postad: 10 okt 2021 23:11
Micimacko skrev:

Du har basfall 1. Sen använder du olika funktioner beroende på jämn/udda. För att du får det så i frågan

Tack för hjälpen!

Laguna Online 32255
Postad: 10 okt 2021 23:32

Koden är väl svar på 1b. Vad var ditt svar på 1a?

Magi2 120
Postad: 10 okt 2021 23:40
Laguna skrev:

Koden är väl svar på 1b. Vad var ditt svar på 1a?

n1=1nk=nk-1× k

Magi2 120
Postad: 10 okt 2021 23:42
Laguna skrev:

Koden är väl svar på 1b. Vad var ditt svar på 1a?

·         def fa(n):

·         if n== 1:return 1

·         else: return fa(n-1)*n

·         m=int (input('mata in ett heltal:'))

·         fakultet=fa(m)

·         print ('fakultet av' ,m,  'är' , fakultet)

Svara
Close