5
svar
230
visningar
Rekursiv formel för en cirkels mittpunkt
Hej
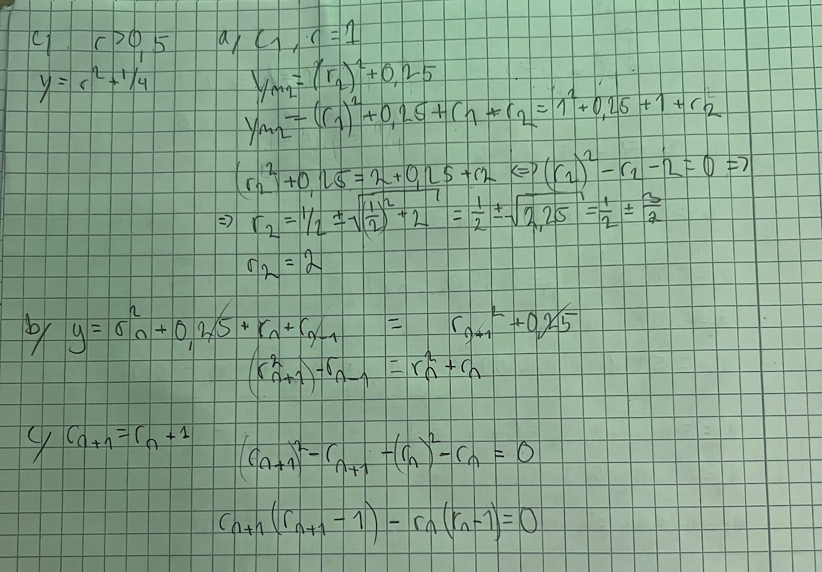
Jag förstår inte hur jag ska göra i uppgift c)


Så långt har jag kommit

Deluppgift b) säger
Försök lösa ut ut formeln du får från b uppgiften
Jag får då
Det är visserligen lika med rn+1, men du har inte löst ut rn+1. Då ska det inte finnas något rn+1 i uttrycket.
Du får lösa andragradsekvationen.
Menar du då att det endast ska vara i ett led? Jag har skrivit ut det men ser inte hur det blir en andragradsekvation
Eller vänta jo det blir det ju, menar du då ? Men detta är ju =