Relativiet - hastighet
Hej!
Jag har fastnat på följande uppgift;

Hittills har jag tänkt så här:
0.35 * 10^9 m/s = 0.11674... c
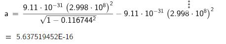
Sedan tänkte jag beräkna den kinetiska energin och utifrån det få ut V
Då fick jag kinetiska energin till 5.64 * 10^-16J

Men hur gör jag nu? Det gick inte att använda W = mv^2 / 2 pga av att den rör sig så fort
Den hypotetiska hastigheten var större än c0 !
Du kan använda att
Vilken av variablerna ska jag sätta in hastigheten? E0 är väl egen energi, så ska jag sätta in gammafaktorn med givna hastigheten där?
TPMusk skrev:Vilken av variablerna ska jag sätta in hastigheten? E0 är väl egen energi, så ska jag sätta in gammafaktorn med givna hastigheten där?
Det står i uppgiften: "Om man använder den klassiska mekanikens formler erhålls resultatet 3,5·108 m/s."
Vad är den klassiska formeln?