Relativitet
Hej, mitt sätt är fel men jag förstår inte varför. Har jag valt fel vilolängd? De väljer att räkna med tidsdilatonen, men längdkontraktion borde väl också gå?



Hur långt har partikeln färdats i sitt eget referenssystem?
Visa spoiler
Kanske lite av en kuggfråga. I referenssystemet som följer med partikeln har partikeln färdats sträckan 0. Vilolängden i jordens system måste kontraheras eftersom det är jorden som rör sig med hastigheten 0.62c sett från partikeln.
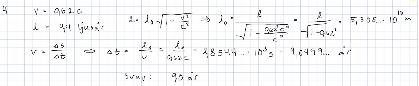
Men vilken blir då l0. Jag förstår inte? Om jorden tycker att avståndet till stjärnan är 4,4 ljusår så måste l =4,4 ljusår, medan partikeln tycker att avståndet är l0?
Partikeln tycker att längden i jordsystemet (som rör sig med hastigheten 0.62c) ser ut att vara
Tiden det tar för jorden att färdas den sträckan är
Ur partikelns synvinkel har alltså jorden rört sig längs en sträcka . Sträckan kontraheras enligt formlerna i din formelsamling. Vilolängden mäter man i det system där sträckan är i vila relativt systemet, dvs i jordsystemet.
Det jag tror du gör fel är att du blandar ihop referenssystemen. Bestäm dig från början för vilket system som rör på sig och vilket som är i vila. Det spelar naturligtvis ingen roll hur du väljer, men du får inte BYTA mitt i beräkningen. Ställ sedan frågor som "I vilket av systemen är längden 4.4 ljusår?".