0
svar
85
visningar
destiny99 behöver inte mer hjälp
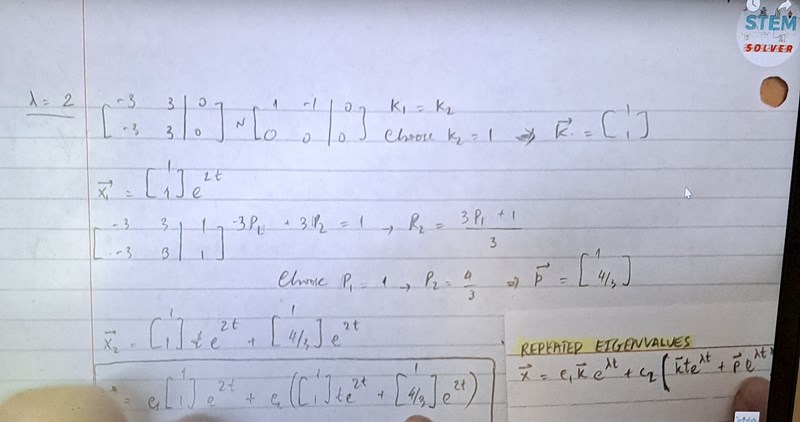
Repeated eigenvalues ODE
Hej!
Jag förstår att man ska skriva den generella lösningen på formen nedan för systemet av differentiella ekvationen för repeated eigenvalues. Men varför ska man lägga till tex kt och P framför e^lambdat? Jag förstår att k och P är ett par nya egenvektorer till den andra, men jag undrar bara var detta kommer ifrån? Den första egenvektor med egenvärde har ju bara ett linjärt oberoende egenvektor med geometrisk multiplicitet 1 och algebraisk multiplictet två.
