Repetition av gymnasiematten
Bestäm alla reella tal x som uppfyller det givna villkoret
|x+1| = |x-5|
Kommer verkligen inte ihåg vad det är man ska göra, antar att det var något med att räkna ut VL och HL enskild, kommer inte ihåg vad det här kallas så det blir svårt att googla efter hjälp :|
Tråd flyttad från Universitet till Matte 3. /Smutstvätt, moderator
Detta är en ekvation med absolutbelopp. Man brukar lösa sådana genom att leta efter lösningar i olika intervall vilket gör att man kan göra sig av med absolutbeloppen.
Här är ett exempel att titta på:
http://www.maths.lth.se/matematiklth/personal/diehl/AnIK_ht07/absolutbel_ex.pdf
Välkommen till Pluggakuten!
Standardfråga 1a: Har du ritat? Det är i alla fall så jag skulle börja på den här uppgiften.
Ordet du behöver för att kunna googla är absolutbelopp.
Smaragdalena skrev:Välkommen till Pluggakuten!
Standardfråga 1a: Har du ritat? Det är i alla fall så jag skulle börja på den här uppgiften.
Ordet du behöver för att kunna googla är absolutbelopp.
När du säger rita tänker du på tallinje då?
Välkommen till Pluggakuten!
Du ska bestämma tal som är sådana att avståndet mellan och på tallinjen (det vill säga absolutbeloppet ) är lika med avståndet mellan och på tallinjen.
- Markera talen och på tallinjen.
- Vilka tal (x) på tallinjen befinner sig på samma avstånd från både och ?
UnluckyMatematik skrev:Smaragdalena skrev:Välkommen till Pluggakuten!
Standardfråga 1a: Har du ritat? Det är i alla fall så jag skulle börja på den här uppgiften.
Ordet du behöver för att kunna googla är absolutbelopp.
När du säger rita tänker du på tallinje då?
Ungefär, rita vardera leds graf i ett koordinatsystem! Var skär de varandra?
Jag tänker på ett koordinatsystem, där jag ritar upp funktionerna y = |x+1| och y = |x-5| och ser efter var de korsar varandra. Vet du hur du skall rita upp de båda ekvationerna?
Smaragdalena skrev:Jag tänker på ett koordinatsystem, där jag ritar upp funktionerna y = |x+1| och y = |x-5| och ser efter var de korsar varandra. Vet du hur du skall rita upp de båda ekvationerna?
Tror man ska lösa det här utan grafer, det AlvinB länka ser bra ut... även fast jag inte riktigt förstår det
UnluckyMatematik skrev:Smaragdalena skrev:Jag tänker på ett koordinatsystem, där jag ritar upp funktionerna y = |x+1| och y = |x-5| och ser efter var de korsar varandra. Vet du hur du skall rita upp de båda ekvationerna?
Tror man ska lösa det här utan grafer, det AlvinB länka ser bra ut... även fast jag inte riktigt förstår det
Och det som jag skrev, det är ointressant?
Albiki skrev:UnluckyMatematik skrev:Smaragdalena skrev:Jag tänker på ett koordinatsystem, där jag ritar upp funktionerna y = |x+1| och y = |x-5| och ser efter var de korsar varandra. Vet du hur du skall rita upp de båda ekvationerna?
Tror man ska lösa det här utan grafer, det AlvinB länka ser bra ut... även fast jag inte riktigt förstår det
Och det som jag skrev, det är ointressant?
Får se om den lösningen fungerar bra först :)

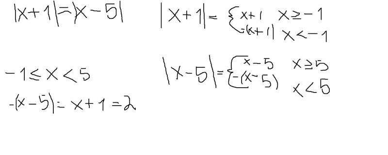
Är det här rätt?
Nej. Det du har gjort nu är att du har tagit reda på vilka värden som gör att |x-1| respektive |x-5| har värdet 0.
I varje av intervallen x<-1, -1 < x < 5och x > 5 får du en ekvation som du kan lösa (en del saknar lösnig). Om du ritar upp funktionerna y = |x+1| och y = |x-5| och ser efter var de korsar varandra får du ekvationens lösning(ar). Du kan också lösa de tre ekvationerna, som AlvinB föreslog, eller lösa det så som Albiki föreslog - det är kanske det enklaste sättet, om man har fattat vad absolutbelopp är.
Smaragdalena skrev:Nej. Det du har gjort nu är att du har tagit reda på vilka värden som gör att |x-1| respektive |x-5| har värdet 0.
I varje av intervallen x<-1, -1 < x < 5och x > 5 får du en ekvation som du kan lösa (en del saknar lösnig). Om du ritar upp funktionerna y = |x+1| och y = |x-5| och ser efter var de korsar varandra får du ekvationens lösning(ar). Du kan också lösa de tre ekvationerna, som AlvinB föreslog, eller lösa det så som Albiki föreslog - det är kanske det enklaste sättet, om man har fattat vad absolutbelopp är.
Men jag löste ju en av ekvationerna och fick rätt svar? 2 alltså
Men jag löste ju en av ekvationerna och fick rätt svar? 2 alltså
Då är problemet att du redovisar för dåligt. Jag förstod i alla fall inte att det var det du hade gjort. Dessutom har du bara redogjort för lösningen i ett av intervallen. Hur är det i de båda andra?
Smaragdalena skrev:Men jag löste ju en av ekvationerna och fick rätt svar? 2 alltså
Då är problemet att du redovisar för dåligt. Jag förstod i alla fall inte att det var det du hade gjort. Dessutom har du bara redogjort för lösningen i ett av intervallen. Hur är det i de båda andra?
Jag kollade dom andra två men orkade inte skriva ut det eftersom att jag är på en laptop just nu och paint med en mousepad är inte jätte skoj... men tror det blev ett tal = 0 vilket inte stämmer och då kan man anta att svaret är två eftersom att det är det enda talet som fungerar :)
Pluggakuten har ett jättebra hjälpmedel just för den situationen: formelskrivaren, som du får fram genom att klicka på rotenur-tecknet längst upp till höger i inskrivningsrutan. Med hjälp av den kan du skriva läsliga formler.
Du har rätt i att det inte finns några lösningar i de andra intervallen, utan den enda lösningen är x = 0.