Repetititon: Hur lång är den kortaste vägen genom figuren
Hej! Jag har fastnat på en repetitionsuppgift från boken "matematik startbok för ingenjörer och naturvetare". Jag får fel svar jämfört med facit och inget tyder på att det är facit som har fel. Jag har försökt lösa uppgiften genom att ta det från början några gånger nu. Skulle verkligen uppskatta några råd om hur man bör tänka.
Frågan lyder:
Om man bara får röra sig inom figuren, hur lång är då den kortaste vägen mellan de markerade punkterna?
Facit säger att det ska bli:
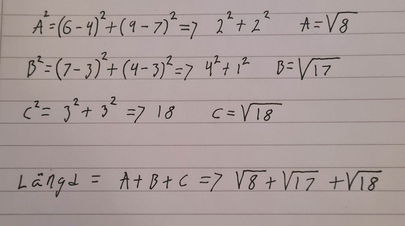
Och jag får svaret:
Bild 1 är figuren man ska hålla sig inom.
Bild 2 är hur jag tänkte den kortaste sträckan ser ut.
Bild 3 är hur jag fick fram mitt resultat.



Välkommen till Pluggakuten!
Ditt svar är rätt.
Men
Jag förstår! Tack för klargöringen! Har du något tips på hur man ska man tänka för att skriva om rotuttryck?
Man kan se om man kan faktorisera ut en kvadrat ur talet under rottecknet.
I det här fallet att 8 = 4*2 och 18 = 9*2.
Jag förstår! Tack så hemskt mycket!