Representera en rationell funktion
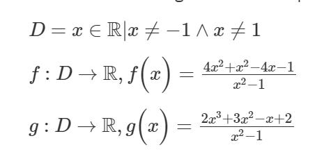
Funktionerna f och g är definierade på följande vis:
Representera funktionerna på formen där p är en förstagradspolynom, och q är antingen 0 eller ett polynom vars grad är högst 1.
Vet någon hur man ska lösa den här uppgiften?
Jsg tycker det skriker polynomdivision. :)
Dracaena skrev:Jsg tycker det skriker polynomdivision. :)
Kan inte minnas att vi jobbade med det. Här kan man se innehållsförteckningen i boken. Finns det andra sätt att lösa den på eller är det endast polynomdivision?
Funktion f:
Sen känner jag att jag borde faktorisera det ytterligare, men vet inte hur… nämnaren för både g och f är bara (x+1)(x-1).
Funktion g:
Hur skulle man kunna göra här sen?
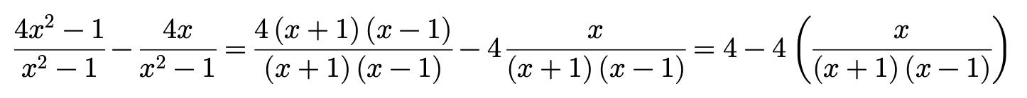
Okej. På första kan man göra följande:
.
Förenkla så det står enligt uppgiftens villkor.
Dracaena skrev:Okej. På första kan man göra följande:
.Förenkla så det står enligt uppgiftens villkor.
Ska det inte stå $4x^2$?
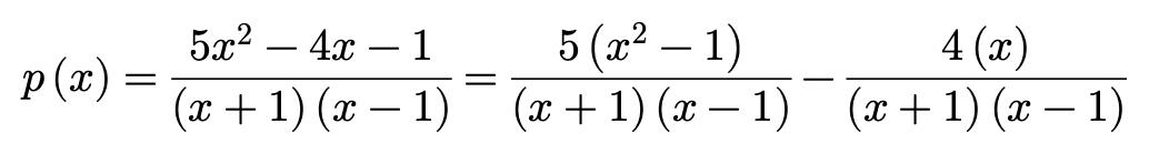
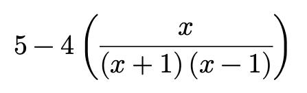
Det här får jag det till:


Hur skulle man kunna fortsätta ifrån detta? Verkar som att p(x) blir bara 4, och q(x) blir detta .
EDIT: Nej nu gjorde jag fel med p(x). Ska skriva rätt för p(x) nedanför:

Men det tog mig inte mer närmre lösningen dessvärre :(
Hur menar du ?
Du har skrivit i ditt inlägg #1

Kolla vad du har skrivit som ,
Du skriver samma sak i inlägg #3:

.
Ditt uttryck stämmer om det var:
men det stämmer inte med vad du har skrivit på flera ställen så jag vet inte om du gjort rätt eller fel.
Dracaena skrev:Hur menar du ?
Du har skrivit i ditt inlägg #1 …
Ja, ursäkta, du har rätt. Bara jag som är slarvig idag!
Det ska vara:

Så vi får då

(Ska stå f(x) = …)


Blir det här rätt då? Vi kan se då att

men detta är omständigt. Är du säker på att du inte får använda PBU eller poldiv?