1
svar
119
visningar
Residual sum of squares

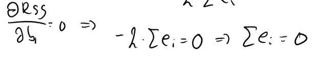
Jag försöker förstå bakgrunden till varför derivatan av RSS med avseende på b1 skall vara noll. Är det för att det är då man minimerar "feltermen" i regressionen?
Det låter rimligt.