2
svar
148
visningar
avenged behöver inte mer hjälp
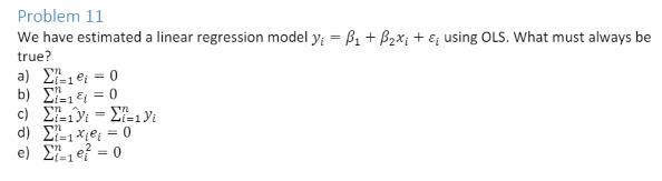
Residualer

Varför är summan av residualerna lika med noll men inte summan av residualerna^2? Borde inte det vara 0(då residualerna är lika med noll)^2 och isf också lika med noll?
Hej!
Om och är två tal sådana att så följer det absolut inte att välj exempelvis och .
Albiki skrev:Hej!
Om och är två tal sådana att så följer det absolut inte att välj exempelvis och .
Ah.. det var alltså så simpelt! Är så lätt att krångla till allt lite väl mycket.