Restterm, Maclaurinutvekling
Finn Maclaurinutveklingen av ordning 3 för ln(1+x^2). Ange resttermen som x^n*B(x) med lämpligt n och B(x) begränsad i en omgivning av x=0.
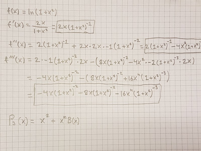
I tidigare uppgifter det gått att "se mönstret" för vilket värde man borde peta in för n. Skulle kunna göra på samma sätt här antar jag genom att köra ännu fler derivator, men deriveringarna blir ju så otroligt bökiga om jag fortsätter..
Kan jag inse på något sätt vilket värde jag borde peta in på n utifrån vad jag har fått fram?
Varför får jag fel tecken på x^2 termen i P3(x) ?
Löser jag uppgiften på smidigast sätt, eller finns det någon annan väg som inte blir så bökig ?

Glömde du summera i sista rutan?
(-12x(1+x2)-2) - (16....)
Är problemet att beräkna fjärde-derivatan?
Du behöver väl inte "derivera ihjäl dig", utan förutse vilka termer som bara ger f''''(0)= 0
Affe Jkpg skrev:Glömde du summera i sista rutan?
(-12x(1+x2)-2) - (16....)
Är problemet att beräkna fjärde-derivatan?
Du behöver väl inte "derivera ihjäl dig", utan förutse vilka termer som bara ger f''''(0)= 0
Inser att jag kikade på fel upg i facit så andra frågan jag ställde är inte relevant.
Hängde inte med på hur jag skulle inse vilket värde jag skulle peta in på n , men börjar greppa det lite mer nu , är jag rätt ute att jag letar efter den ordningen efter ordning3 som genererar ett värde när jag petar in x=0 , och siffran på den ordningen blir mitt n?
Men fram till den ordningen som uppgiften ber en utveckla så lär man "derivera ihjäl sig" ?
f(x)=g(x)h(x)
f'(x)=….g(x)=Axn...n>1...då kan du dra en snabb slutsats om f'(0)...
f'(x)=….g(x)=Axn...n=1...då kan du dra en annan slutsats om f'(0)...