Hej
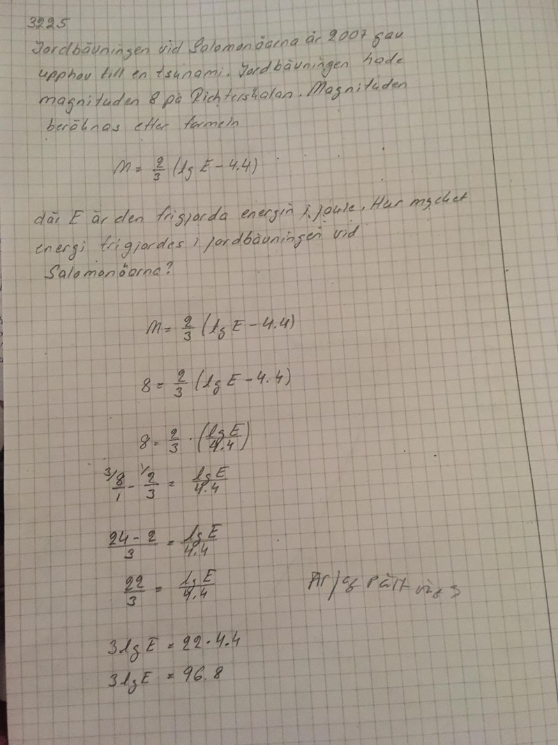
Nej inte riktigt om du har subtraktion mellan två tal kan du inte helt plötsligt skriva det som en division. Vilket du gör på tredje raden.
Om det blir lättare sätt så får du ekvationen: , kommer du vidare?
8*3= 2(log E-4,4)
24= 2(log E-4,4)
24/2= log((E)-(4.4))
12=log(E)-(4.4)
12+4,4= Log (E)
16.4= log (E?
Ja bra, hur löser du ut nu?
Kan det vara 10 ^ (16 4)= 10^(E?
Päivi skrev :Kan det vara 10 ^ (16 4)= 10^(E?
Nej det kan det inte vara. Du tänker nog rätt med "10 upphöjt till" men du skriver fel i högerledet.
Som du skriver så gör du inte samma sak med VL som med HL.
Dessutom skulle svaret då bli16,4 Joule, vilket knappast kan orsaka någon tsunami.
Du ska istället ta 10^(hela VL) = 10^(hela HL) och sedan förenkla HL.
--------
Och du bör skriva lg istället för log eftersom detta gäller 10-logaritmer.
Jag ska titta på det här, när jag kommer hem.
Päivi skrev :Kan det vara 10 ^ (16 4)= 10^(E?
Nästan Päivi...
Päivi skrev :
Bra Päivi. Nu är det rätt.
Men du har gjort ett slarvfel på rad 5 i dina uträkningar. Och du har glömt att skriva "Cirka" eller "Ungefär lika med" i svaret.
Päivi skrev :
EDIT - läste fel först.
Bra Päivi, nu har du rättat felet på rad 5.
--------
Men vad gäller ordet "Cirka" eller uttrycket "Ungefär lika med" så ska du använda det när du gör en avrundning, dvs först i svaret i denna uppgift.
Ok!
Tack för upplysningen, Yngve!
Gå titta på den andra tråden som jag hänvisade dig till!


