4
svar
98
visningar
Riktig kluring

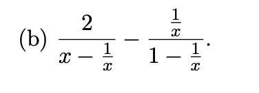
Hur löser jag den här? Har försökt förlänga bråken med varandra, men det blir inget snyggt svar. Tack på förhand!
Att skriva om bråkan med samma nämnare verkar sm en bra idé.
Visa hur du försöker, så kan vi hjälpa dig bättre.
Tips: Multiplicera inte ihop nämnaren. När du har förenklat täljaren, sätt t=1/x och ta fram rötterna.
Så långt kom jag.
För och
Tack Joculator!