1
svar
118
visningar
lund behöver inte mer hjälp
Riktning av normal (Gauss sats)
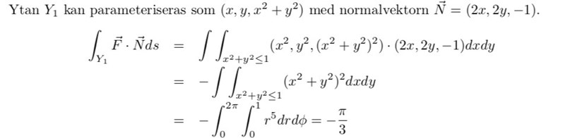
Hej, jag håller på med en gammal tentamen fråga i flervariablesanalys som handlar om Gauss sats. Jag vet hur jag ska lösa uppgiften och tänkte börja med att beräknad dubbelintegralen över men är lite fundersam över hur jag ska välja riktningen på normalvektorn.

I facit antar de följande för området . Men brukar man inte anta en utåt och uppåtriktad normal om det inte är givet i frågan - då borde det vara en positiv etta i normalen? Eller beror en negativ etta på att z är i xy-planet och där blir den nedåtriktad?

Rita hur ytan ser ut. Det skall vara utåtriktad normal som standard i Gauss sats.