Riktningsderivata

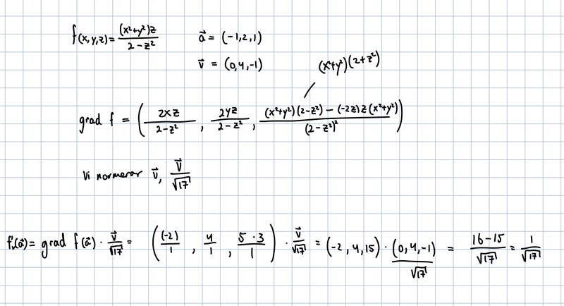
Jag räknade ut gradienten och normerade riktningsvektorn v. Sedan räknade jag ut riktningsderivatan genom att ta skalärprodukten mellan grad(a) och normerad v. Det verkar som att i facit blir det -8 men jag får 1/ sqrt(17)?

Du verkar titta på derivatan i riktning av (0,4,-1), inte i riktning från (-1,2,1) mot (0,4,-1).
Dr. G skrev:Du verkar titta på derivatan i riktning av (0,4,-1), inte i riktning från (-1,2,1) mot (0,4,-1).
Jahaa, tack! Motsvarar riktningen jag räknat ut riktningen från origo till (0,4,-1) och så flyttar man riktningen till punkten a? (istället för att använda riktningen från a till v)
Grön - det jag har räknat ut
Blå - det som faktiskt ska räknas ut

De menar att du ska ta ut riktningsderivatan i riktningen från punkten (-1,2,1) mot punkten (0,4,-1).
Jroth skrev:De menar att du ska ta ut riktningsderivatan i riktningen från punkten (-1,2,1) mot punkten (0,4,-1).
Aaa, tack. Undrade bara om det jag räknat ut var riktningen från (0,0,0) mot (0,4,-1)
Zeshen skrev:Jroth skrev:De menar att du ska ta ut riktningsderivatan i riktningen från punkten (-1,2,1) mot punkten (0,4,-1).
Aaa, tack. Undrade bara om det jag räknat ut var riktningen från (0,0,0) mot (0,4,-1)
Mm, sorry. Jag sitter och jobbar samtidigt och ibland kommer något emellan, så när jag väl klickar på "posta svar" blir mina svar lite aparta i det övriga flödet..
Men ja, du har räknat ut riktningen från (0,0,0) mot (0,4,-1) och din bild över vad som gått fel verkar helt korrekt.
Jroth skrev:Zeshen skrev:Jroth skrev:De menar att du ska ta ut riktningsderivatan i riktningen från punkten (-1,2,1) mot punkten (0,4,-1).
Aaa, tack. Undrade bara om det jag räknat ut var riktningen från (0,0,0) mot (0,4,-1)
Mm, sorry. Jag sitter och jobbar samtidigt och ibland kommer något emellan, så när jag väl klickar på "posta svar" blir mina svar lite aparta i det övriga flödet..
Men ja, du har räknat ut riktningen från (0,0,0) mot (0,4,-1) och din bild över vad som gått fel verkar helt korrekt.
Ingen fara, jag uppskattar att du svarar vid sidan av jobbet, tack så mycket för hjälpen! :)