Riktningsderivata och gradient

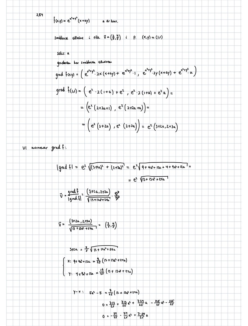
Eftersom gradientens riktning har snabbaste riktningen räknade jag ut gradienten, normerade den och satte den lika med v i punkten (1,1). Men jag verkar få konstigt svar, är det fel lösningsmetod?
Det låter rimligt. Skriv ned dina uträkningar, så kikar vi på dem! :)
Har lite lång uträkning


Det är väl enklare om du sätter ∇(1,1)=λ(3/5,4/5)=λ(3,4) från din åttonde rad.
(Jag ger mig in på flervariabelfrågor fastän mina kunskaper är skakiga där, någon annan får gärna gripa in och hjälpa, eller hjälpa mig att hjälpa haha)
Qetsiyah skrev:Det är väl enklare om du sätter ∇(1,1)=λ(3/5,4/5)=λ(3,4) från din åttonde rad.
(Jag ger mig in på flervariabelfrågor fastän mina kunskaper är skakiga där, någon annan får gärna gripa in och hjälpa, eller hjälpa mig att hjälpa haha)
Tack!
Antar att du menar efter jag har räknat ut grad f(1,1)? Känns som att det blir skumt efter normeringen (efter rad 8), kanske ska göra om uppgiften
Alltså gradf(1,1) har du ju räknat ut, och som du vet så ger vektorn (R2) rikningen i vilken f ökar snabbast. Som du ser i uttrycket för ∇(1,1) så beror den av valet av a. Nu ska vi alltså välja a sådant att riktningen är samma som v. Lambda finns där för att vi, som du säger, inte bryr oss om dess magnitud, bara det är åt rätt håll.
Jag venne... normera ∇(1,1) och sätta den lika med v... näää?
Qetsiyah skrev:Alltså gradf(1,1) har du ju räknat ut, och som du vet så ger vektorn (R2) rikningen i vilken f ökar snabbast. Som du ser i uttrycket för ∇(1,1) så beror den av valet av a. Nu ska vi alltså välja a sådant att riktningen är samma som v. Lambda finns där för att vi, som du säger, inte bryr oss om dess magnitud, bara det är åt rätt håll.
Jag venne... normera ∇(1,1) och sätta den lika med v... näää?
Ja det är sant att endast riktningen spelar roll.
Testade göra om uppgiften utan att ta hänsyn till storleken, något verkar dock fortfarande vara skumt...

Du vet inte lambda sätt den som okänd och så får du hitta både lambda och a
Qetsiyah skrev:Du vet inte lambda sätt den som okänd och så får du hitta både lambda och a
Så här? 
Vad är konstigt med a dock? Dessa ekvationer får ut två olika
Huh? Låt lamba absorbera 1/5 och e^2, det är bara en konstant. lös:
Det råkar inte vara rätt svar?
Qetsiyah skrev:Huh? Låt lamba absorbera 1/5 och e^2, det är bara en konstant. lös:
Det råkar inte vara rätt svar?
Jahaa, jo men så ska det vara! Tack :) (Känns dock konstigt att man ändå måste räkna med lambda konstanten som inte spelade någon roll för riktningen?) (t.ex. för v så är riktningen (3/5,4/5) men det är samma riktning som (3, 4) men vektorerna har olika längder?)