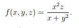
Riktningsderivatan
Hej!

Bestäm riktningsderivatan av f i punkten (2, 1, 1) i riktning mot punkten (4, −1, 2).
Jag har räknat ut de partiella derivatorna (gradienten), men jag förstår inte riktigt hur jag ska tänka här. Om det inte hade stått "i riktning mot punkten (4,-1,2) så hade jag bara stoppat in (2,1,1) i mina partiella derivator.
Tack på förhand.
Jag tänkte på att räkna ut skillnaden mellan de givna punkterna och skapa en vektor, sen kan jag hitta enhetsvektorn i den riktningen och sedan stoppa in (2,1,1) i gradienten och multiplicera den med enhetsvektorn. Tänker jag rätt ens?
Räkna ut gradienten i (2,1,1).
Den sökta riktningsderivatan är skalärprodukten av gradienten i (2,1,1) och en enhetsvektor i riktning av (4,-1,2) - (2,1,1).