Riktningsvektor
Hej! Jag klurar lite på denna extentauppgiften vi har fått ett lösningsförslag på. 
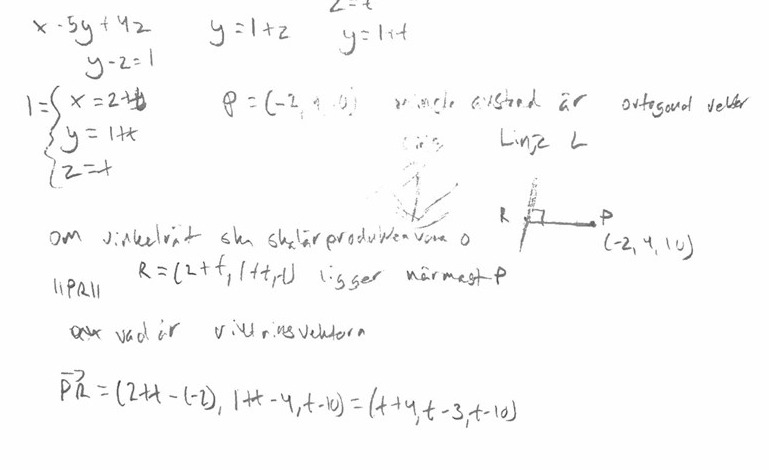
Jag har räknat ut skärningslinjen och skulle gå vidare till att räkna ut det minsta avståndet men jag får inte riktigt till det.
I lösningsförslaget så har de gjort såhär

Det jag inte riktigt förstår är hur de har fått fram riktningsvektorn u = (1, 1, 1).
Här är min egna något kladdiga ansats, 
Förstår inte riktigt hur jag ska fortsätta sen
Hej,
Det gäller att du kan skriva din linje som med definierad som och en punkt på din kurva. I detta fall ger att , men det viktiga är ju din riktningsvektor .
Moffen skrev:Hej,
Det gäller att du kan skriva din linje som med definierad som och en punkt på din kurva. I detta fall ger att , men det viktiga är ju din riktningsvektor .
Ja juste! Jag som inte riktigt hade tänkt igenom vad parameterformen på linjen betydde, tack så mycket!