Rita ett område

Jag har ju - som alla vet - lite problem med att rita, vet inte vad det är jag ska rita här, :

eller för jag förstår inte hur de har fått


för dom verkar ju bara gå på försöker bara förstå hur,
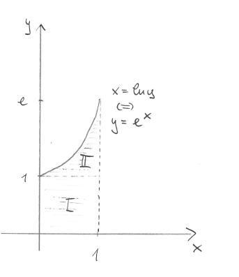
De har inte ritat integranden utan de två integrationsområdena.
Område I i bilden motsvarar integrationsområdet för den första integralen, där y går från 0 till 1 och x går från 0 till 1.
Område II i bilden motsvarar integrationsområdet för den andra integralen, där y går från 1 till e och x går från ln(y) till 1.
Jag har ju - som alla vet - lite problem med att rita
När skall du begripa att lösningen på det problemet är att försöka, inte att fly? Det kanske är det du begriper just nu?
Problemet här var nog inte själva ritandet utan att förstå tipset, dvs att förstå vad det är som ska ritas.
Det är så lätt att läsa det man tror står istället för det som verkligen står.