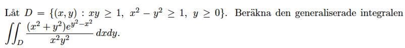
Rita graf 4
Om jag har
och
- första olikheten, skrivs om till
- andra olikheten, det är en hyperbol som - hur ska man uttrycka det, inte är 'stängd'
- sista ja, den är ju basic.
Men får inte ihop det, jag ritar något såhär

Det ser någorlunda rätt ut, men är det en graf du ska rita eller ett område, eller vad?
Laguna skrev:Det ser någorlunda rätt ut, men är det en graf du ska rita eller ett område, eller vad?

är uppg, men jag vill bara hitta gränserna.. och då ska man ju rita upp det (graf/område, vet inte vad som är skillnad?)
Nu skulle jag undersöka några olika punkter. För att kolla vilken sida om den första kurvan som är "rätt" skulle jag undersöka (2,2). Den SKALL tillhöra området, så då vet jag att det är "nordost om kurvan" som gäller. För hyperbeln skulle jag titta på punkten (2,0). Den SKALL tillhöra området, så vi skall vara "öster om parabeln", Och så är vi "norr" om x-axeln. Det ser ut att vara ett obegränsat område, om du har skrivit av rätt.
Smaragdalena skrev:Nu skulle jag undersöka några olika punkter. För att kolla vilken sida om den första kurvan som är "rätt" skulle jag undersöka (2,2). Den SKALL tillhöra området, så då vet jag att det är "nordost om kurvan" som gäller. För hyperbeln skulle jag titta på punkten (2,0). Den SKALL tillhöra området, så vi skall vara "öster om parabeln", Och så är vi "norr" om x-axeln. Det ser ut att vara ett obegränsat område, om du har skrivit av rätt.
Menar du från början? eller efter det jag ritade? ;P eller så som jag skrev i andra tråden
"jag har svårt och förstå vad som är området, asså är alla linjer som bildar området, eller är området det area som bildas utav linjerna (det jag markerade med blått?)"
Först rita korrekta linjer, sedan undersöka var området är.