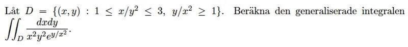
Rita graf/område?

och
Som i mina andra trådar, så har @smaragdalena lärt mig att det är så smidigt och bra att skriva det som en funktion av .
- Skulle den första olikheten bli då:
- den andra olikheten blir då eller?
Blir lite osäker..?
Prova att rita området. Jag tror du har rätt i att det är bra att ha y som oberoende variabel.
Men jag vet inte vad du menar med att den andra olikheten skulle bli y = x2. Det är en likhet och ingen olikhet.
Laguna skrev:Prova att rita området. Jag tror du har rätt i att det är bra att ha y som oberoende variabel.
Men jag vet inte vad du menar med att den andra olikheten skulle bli y = x2. Det är en likhet och ingen olikhet.
Såg nu att jag skrev fel, det borde bli eller börjar jag surra i nattmössa nu xD
Multiplicerar man med får man .
Laguna skrev:Multiplicerar man med får man .

Sådär.. Men jag ser inte riktigt hur jag kan hitta gränserna i den här grafen?
Den första olikheten, som egentligen är två olikheter, har du gjort något konstigt med. De ger inte en kurva, till att börja med, de ger två kurvor som definierar ett område.
Jag tycker olikheter är jobbiga, så jag ritar hellre in gränslinjen där det gäller likhet och funderar ut på vilken sida om gränsen som är den rätta efteråt. WolframAlpha ritar snällt.
Smaragdalena skrev:Jag tycker olikheter är jobbiga, så jag ritar hellre in gränslinjen där det gäller likhet och funderar ut på vilken sida om gränsen som är den rätta efteråt. WolframAlpha ritar snällt.

Vad blir gränserna då? tkr det är lite otydligt.
Smaragdalena skrev:Jag tycker olikheter är jobbiga, så jag ritar hellre in gränslinjen där det gäller likhet och funderar ut på vilken sida om gränsen som är den rätta efteråt. WolframAlpha ritar snällt.

men hur kan man se gränserna här? kollar man där dom korsas? typ se bild:

Gör som jag skrev i din andra tråd och undersök några punkter, om de ligger i området eller utanför. Om vi tittar på en första raden, så skall det egentligen vara att så området är ovanför kurvan. Gör likadant för de båda andra olikheterna.
Smaragdalena skrev:Gör som jag skrev i din andra tråd och undersök några punkter, om de ligger i området eller utanför. Om vi tittar på en första raden, så skall det egentligen vara att så området är ovanför kurvan. Gör likadant för de båda andra olikheterna.
jag har svårt och förstå vad som är området, asså är alla linjer som bildar området, eller är området det area som bildas utav linjerna (det jag markerade med blått?)
Du har markerat dels det korrekta området, dels ett (eller möjligen två) område som inte skall vara med. Jämför med länken i mitt förra inlägg. Området skall ligga ovanför parabeln, inuti den bredaste hyperbeln och utanför den smalare hyperbeln, alltså bara det översta området du har markerat.