Rita grafen för en integral (förstår inte facit)
Det här är en fråga från en gammal tenta i Endimensionell Analys som jag inte riktigt förstår facit av. Bifogar skärmdump på både fråga och facit.
Det jag inte fattar är varför man i fallet ska ha med . I min värld så ska man göra som i fallet , dvs räkna en integral enligt följande , men det blir inte rätt. Någon som kan förklara superpedagogiskt varför intervallet inte blir 0 till X, utan två integraler med intervallen 0 till 1 och 1 till X?
Mvh
Frågan:

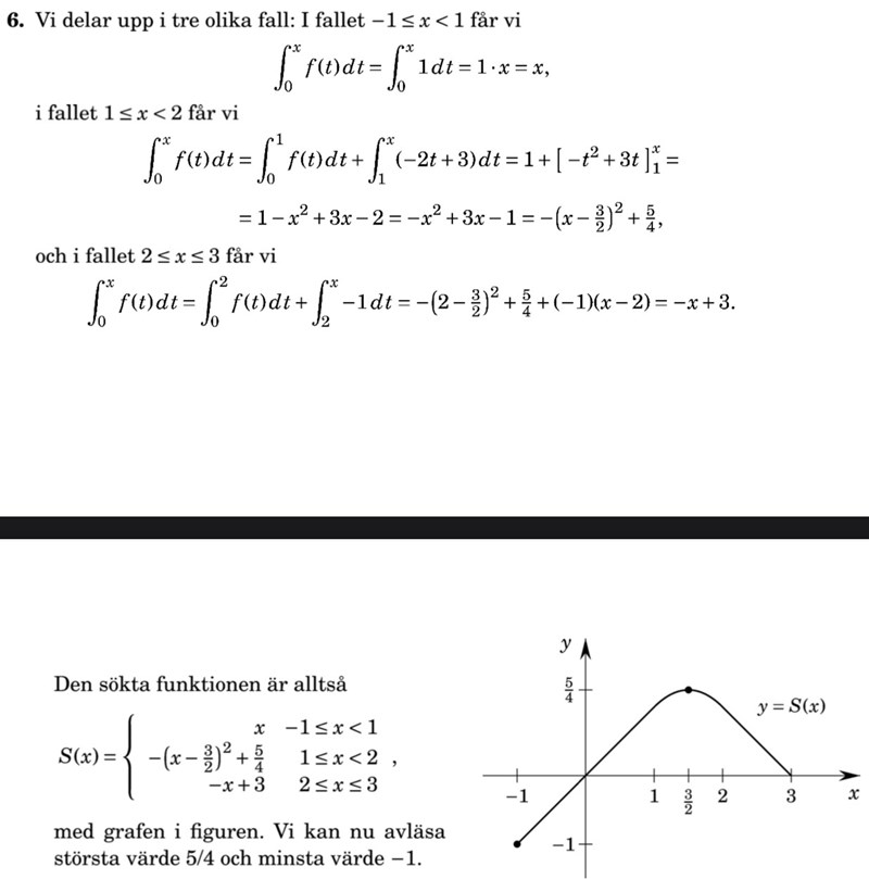
Facit:

Börja med att rita upp f(t) i hela intervallet . Lägg upp bilden här.
Rent generellt har du för alla integraler följande egenskap:
Det är den egenskapen facit utnyttjar.
Vad du gör är om jag förstår dig rätt, är att sätta:
vilket helt enkelt är falskt eftersom
inte är sant på hela intervallet .