4 svar
130 visningar
sannakarlsson1337 590 – Fd. Medlem
Postad: 21 okt 2020 13:44

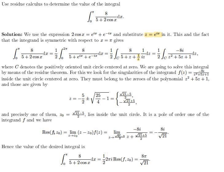
Rita/illustrera följande funktion

 

Hur ska man tänka om man ska rita upp den där funktionen? Ni som är duktiga (jag är så imponerad!) hur gör ni???? sitter ni med teckentabeller och värdetabeller?

sannakarlsson1337 590 – Fd. Medlem
Postad: 24 okt 2020 16:53

bump=)

Micimacko 4136
Postad: 24 okt 2020 17:00

Man vet ungefär hur cos ser ut och resten är konstanter, så skulle testa stoppa in 0 och pi och dra ett streck mellan typ. Hur bra bild vill du ha?

sannakarlsson1337 590 – Fd. Medlem
Postad: 25 okt 2020 10:22
Micimacko skrev:

Man vet ungefär hur cos ser ut och resten är konstanter, så skulle testa stoppa in 0 och pi och dra ett streck mellan typ. Hur bra bild vill du ha?

tänka rmest bara fr att se o man kan använda Cachys integarl formel på den.. se att punkter(na) ligger inne

Micimacko 4136
Postad: 25 okt 2020 12:31

Här hade jag tänkt att rot(21) ligger mellan 4 och 5.

Så första lösningen är mellan 4-5/2=-1/2 och 0, så den ligger helt klart innanför enhetscirkeln.

Den andra lösningen är mellan -(4+5)/2=-4,5 och -(5+5)/2=-5, så den ligger helt klart utanför.

Svara
Close