1
svar
102
visningar
L1vL behöver inte mer hjälp
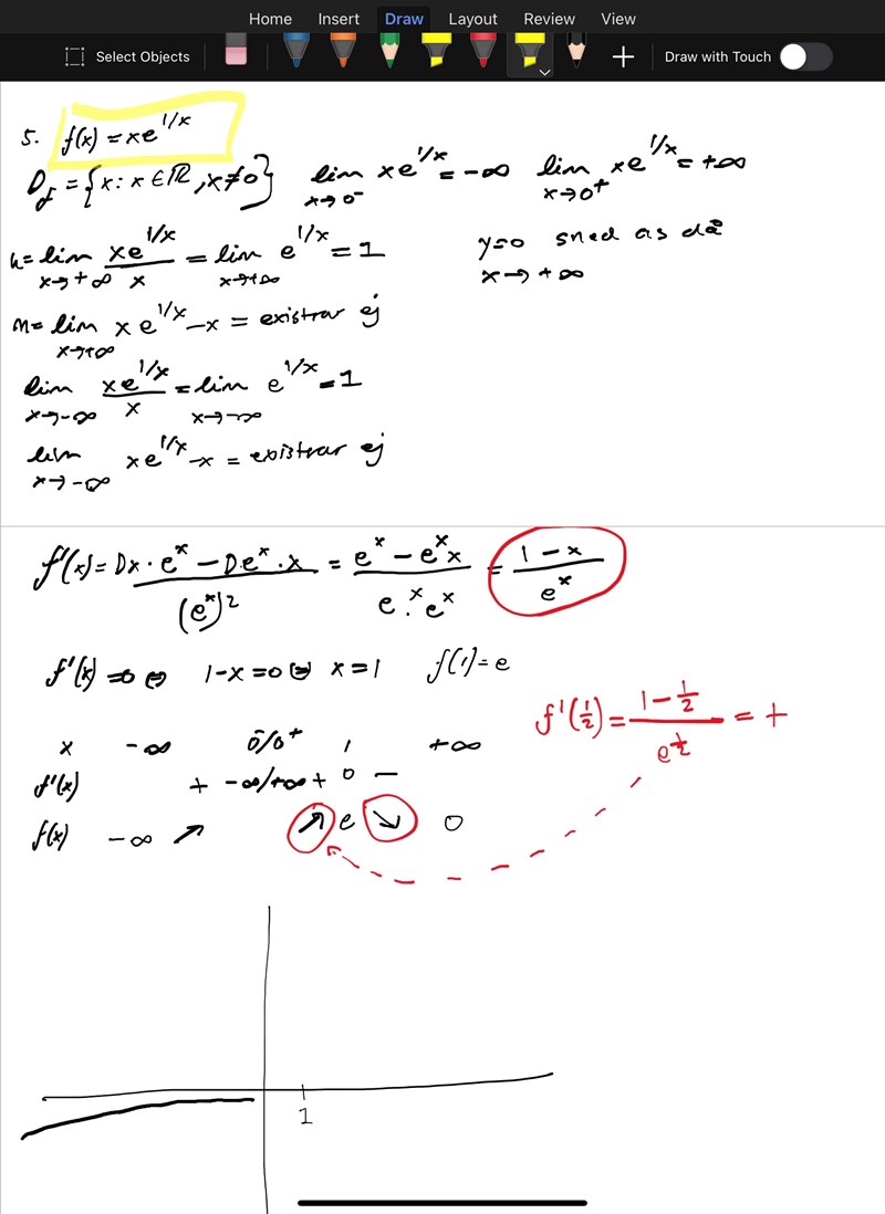
Kurvkonstruktion
Hej, försöker rita kurvan (se gult inringat), får ut ett maximum i min teckentabell men det ska vara ett minimum (se rött inringat). Vad blir tokigt?
(bortse från att jag råkade använda satsen om storleksordning i onödan, kom på att man kunde skriva om uttrycket så att en vågrät asymptot existera :)

Använd produktregeln och kedjeregeln istället för kvotregeln när du deriverar.