Rita logaritmisk kurva

Jag tror mig veta 3 saker om att rita logaritmiska kurvor;
Kurvan skär alltid x-axeln vid x=1.
Kurvan är ej definierad för negativa x-värden.
Basen 10 innebär att kurvans värde ska vara 1 när x=10.
Men hur jag ska rita ut resten utöver punkterna (1,0) och (10,1) vet jag ej. Tabell?
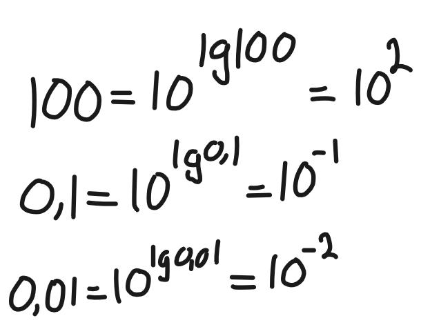
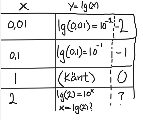
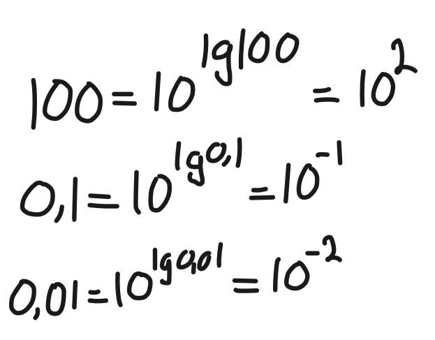
Räkna ut y(100) och y(0,1) och kanske även y(0,01) också. Rita.
Smaragdalena skrev:Räkna ut y(100) och y(0,1) och kanske även y(0,01) också. Rita.
Menar du att jag sätter in 100, 0,1 0,01 som x i logaritmuttrycket?
Ja, vad är 10-logaritmen av 100, 0,1 respektive 0,01?
Smaragdalena skrev:Ja, vad är 10-logaritmen av 100, 0,1 respektive 0,01?

Men ser inte hur jag ska ställa upp tabell med värden för att sedan rita ut riktigt

*edit* Ser nu att om jag plottar ut det i desmos verkar det stämma att när värdet på x=0.01 är y-värdet -2.
Då är jag med, typ!
XLeNT skrev:Smaragdalena skrev:Ja, vad är 10-logaritmen av 100, 0,1 respektive 0,01?
Men ser inte hur jag ska ställa upp tabell med värden för att sedan rita ut riktigt
*edit* Ser nu att om jag plottar ut det i desmos verkar det stämma att när värdet på x=0.01 är y-värdet -2.
Då är jag med, typ!
Problemet nu blir ju att räkna ut värden för x som ligger inom ett intressant intervall. T.ex så är 100 lite väl högt.

Nu för t.ex x=2 vet jag inte hur jag ska bära mig åt.
*edit*
Visst, det GÅR väl att rita ut det med enbart 4st punkter. Men det blir väldigt mycket att gissa ungefär mellan punkten x=1 och x=10:

Kommer du ihåg några andra värden som kan vara användbara? För egen del har det fastnat att roten ut 10 är 3,16 och att 100,3 = 2 ungefär. Sedan kan du nog fundera ut några värden till med hjälp av logaritmlagarna.
Smaragdalena skrev:Kommer du ihåg några andra värden som kan vara användbara? För egen del har det fastnat att roten ut 10 är 3,16 och att 100,3 = 2 ungefär. Sedan kan du nog fundera ut några värden till med hjälp av logaritmlagarna.
Fick svar att det var OK att köra på känsla där emellan x=1 och x=10 :)
Tack för tipset dock!

