Rita reaktionsmekanismen
Rita ut reaktionsmekanismen för kondensationsreaktionen då den aprikosdoftande estern etylbutanoat bildas. Reaktanterna är etanol och butan syra, samt en stark syra som katalysator.
(Källa: Reaktion 2)

Nu har jag glömt att rita in oxoniumjonerna som jag antar är det som reagerar från syran ( jag antar att syret är nukleofilt )
Kan någon ge mig någon ledtråd i hur jag ska ta mig vidare?
Visa spoiler

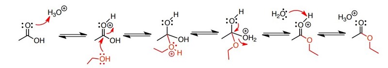
Jag har svårt att se hur man kan applicera metoden som visas på din bild när du jobbar med en envärd alkohol. Jag är även rädd att jag vilseleder dig om jag berättar om den mekanism vi har fått lära oss, men det jag iallafall skulle börja med att göra är att protonera karbonylsyret (dvs. det syret som dubbelbinder kolet i butansyran). Då blir kolet mer utarmat på elektroner (en bättre elektrofil) och kan lättare attackeras av det fria elektronparet på syret i alkoholen. Sedan hade jag bara låtit OH-gruppen uppta ett väte och lämna. Därvid kommer det bildas en ny dubbelbidnning mellan syret och alkoholen. Lite svårt att visualisera detta kanske, men jag hoppas att bilden nedan kan vara till hjälp! Det är den mekanism jag själv utgår från.
